Section: Evolutionary Biology
Topic: Ecology, Environmental sciences, Evolution

Increased clonality and genetic differentiation across the Arctic Ocean in tetraploid sea anemone Aulactinia stella

Corresponding author(s): Bocharova, Ekaterina (bocharova.ekaterina@gmail.com); Stoeckel, Solenn (solenn.stoeckel@inrae.fr)

10.24072/pcjournal.656 - Peer Community Journal, Volume 5 (2025), article no. e134

Get full text PDF Peer reviewed and recommended by PCI

Abstract

Reproductive mode is a key factor shaping genetic diversity, evolutionary potential, and the processes of dispersal and colonization. Clonality is particularly common in harsh environments and at the margins of species ranges, where it supports persistence, enables rapid growth, and promotes the maintenance of locally adapted genotypes. In the rapidly changing Arctic, increasing ecological connectivity is eroding historical barriers for sessile species. Evaluating genetic diversity in this context, before global change further alters Arctic ocean, is essential for understanding evolutionary dynamics during range expansion and for informing conservation strategies. Aulactinia stella is a circumpolar sea anemone with physiological characteristics in laboratory conditions suggesting a potential for clonal reproduction. In this study, we investigated its reproductive modes in natural populations across the Arctic ocean, from the northern Pacific to the Atlantic, and examined how genetic diversity is structured between adults and juveniles at five sampled sites. Across all study sites, we observed only females or individuals lacking gonads, with the exception of Kamchatka, where males were also present. Genetic indices and changes in genotype frequencies between adults and juveniles confirmed that this species reproduces partially by parthenogenesis. Populations on the Atlantic side were highly clonal with clonal rates (c) estimated at 80-99%, whereas populations on the Pacific side reproduced more sexually (c around 50%). Allelic diversity was twice as high in Kamchatka and Kuril populations, suggesting North Pacific coasts being the main last glacial refugia of A. stella. We found a stepping-stone pattern of genetic structure from Kamchatka to Atlantic populations, consistent with contemporary ocean currents and melted summer sea ice. Only a subset of the juvenile genetic diversity, mostly of local origin, was found in the established adults, while juveniles exhibited lower levels of genetic differentiation across the Arctic Ocean. Our findings underscore the need for further ecological and behavioral investigations to elucidate the mechanisms allowing the current possibilities of dispersal of this species across the Arctic Ocean.

Metadata
Published online:
DOI: 10.24072/pcjournal.656
Type: Research article
Keywords: partial asexuality, population genetics, autopolyploidy, genetic structure, gene flow, genetic endemism, animal parthenogenesis

Bocharova, Ekaterina  1 , 2 ; Volkov, Aleksandr  3 ; Stoeckel, Solenn  4 , 5

1 Faculty of Life Sciences, University of Vienna, Vienna, Austria
2 Vavilov Institute of General Genetics of Russian Academy of Sciences, Moscow, Russia
3 Branch for the freshwater fisheries of VNIRO (VNIIPRKH), Moscow region, Russia
4 DECOD, L'Institut Agro, IFREMER, INRAE, 35000, Rennes, France
5 IGEPP, INRAE, Institut Agro, Université de Rennes, Le Rheu, France
License: CC-BY 4.0
Copyrights: The authors retain unrestricted copyrights and publishing rights
Bocharova, E.; Volkov, A.; Stoeckel, S. Increased clonality and genetic differentiation across the Arctic Ocean in tetraploid sea anemone Aulactinia stella. Peer Community Journal, Volume 5 (2025), article  no. e134. https://doi.org/10.24072/pcjournal.656
@article{10_24072_pcjournal_656,
     author = {Bocharova, Ekaterina and Volkov, Aleksandr and Stoeckel, Solenn},
     title = {Increased clonality and genetic differentiation across the {Arctic} {Ocean} in tetraploid~sea anemone\protect\emph{ {Aulactinia} stella}
},
     journal = {Peer Community Journal},
     eid = {e134},
     year = {2025},
     publisher = {Peer Community In},
     volume = {5},
     doi = {10.24072/pcjournal.656},
     language = {en},
     url = {https://peercommunityjournal.org/articles/10.24072/pcjournal.656/}
}
TY  - JOUR
AU  - Bocharova, Ekaterina
AU  - Volkov, Aleksandr
AU  - Stoeckel, Solenn
TI  - Increased clonality and genetic differentiation across the Arctic Ocean in tetraploid sea anemone Aulactinia stella

JO  - Peer Community Journal
PY  - 2025
VL  - 5
PB  - Peer Community In
UR  - https://peercommunityjournal.org/articles/10.24072/pcjournal.656/
DO  - 10.24072/pcjournal.656
LA  - en
ID  - 10_24072_pcjournal_656
ER  - 
%0 Journal Article
%A Bocharova, Ekaterina
%A Volkov, Aleksandr
%A Stoeckel, Solenn
%T Increased clonality and genetic differentiation across the Arctic Ocean in tetraploid sea anemone Aulactinia stella

%J Peer Community Journal
%] e134
%D 2025
%V 5
%I Peer Community In
%U https://peercommunityjournal.org/articles/10.24072/pcjournal.656/
%R 10.24072/pcjournal.656
%G en
%F 10_24072_pcjournal_656

PCI peer reviews and recommendation, and links to data, scripts, code and supplementary information: 10.24072/pci.evolbiol.100866

Conflict of interest of the recommender and peer reviewers:
The recommender in charge of the evaluation of the article and the reviewers declared that they have no conflict of interest (as defined in the code of conduct of PCI) with the authors or with the content of the article.

Full text

The full text below may contain a few conversion errors compared to the version of record of the published article.

Introduction

The way individuals reproduce is the most influential trait in governing genetic diversity and potentially evolutionary response to environmental changes (Duminil et al., 2007; Pierre et al., 2022). Reproductive mode governs the persistence of DNA variations through generations. It has therefore major impacts on the level of genome-wide genetic diversity and its structuration within and among populations (Ellegren & Galtier 2016). Reproductive modes also profoundly affect other biological traits that play important roles for ecological processes, including population growth, dispersal, colonization of new areas and the genetic basis for adaptation (Yu et al., 2016; He et al., 2024).

Clonality is a dominant reproductive mode found in populations colonizing new area, especially when enduring harsh conditions at the edge of their living range (Cadotte et al., 2006; Burke & Bonduriansky, 2018; Roiloa, 2019; Franklin et al., 2021) and in recently invaded, resource-poor environments to which individuals are poorly adapted (geographic parthenogenesis; Peck et al., 1998). All groups and kingdoms of Eukaryota domain, including most of the species that are essential for ecosystem functions, have species that reproduce using partial clonality (Avise, 2015; Schön et al., 2009; Tibayrenc et al., 2015; Orive & Krueger-Hadfield, 2021). In this reproductive mode, parents can generate offspring that are genetically identical to themselves at all loci on their genomes, with the exception of rare recombination events and occasional somatic mutations (De Meeûs et al., 2007; Stoeckel et al., 2021a). In such species, the proportion of descendants produced by clonality, i.e. the rate of clonality, is a key biological factor to understand their genetic and trait evolution (Yu et al., 2016; Becheler et al., 2017). Clonality often increases in populations expanding at range margins, as it allows pioneers to establish and persist in the absence of mates (Baker & Stebbins, 1965; Liu et al., 2006; Wang et al., 2019). Moreover, clonality enables locally successful genotypes to persist across generations without recombining with less adapted ones, thereby accelerating population growth (Fouqueau & Roze, 2021; Pierre et al., 2022). It also decreases the loss of allele diversity and of heterozygosity by genetic drift, especially in small founding populations (Navascués et al., 2010; Stoeckel & Masson, 2014; Reichel et al., 2016; Stoeckel et al., 2021b). However, the absence of recombination in clonal reproduction constrains selection by preventing the combination of adaptive alleles and hindering the removal of deleterious variants (De Visser & Elena, 2007; López‐Villavicencio et al., 2013; Pierre et al. 2022).

The Arctic Ocean has been previously considered as an insurmountable barrier for sessile and semi-sessile marine species dispersal due to limited access, harsh environmental conditions and inadequate food resources (Chan et al., 2019). Climate change is opening new routes across the Arctic Ocean, linking northern Pacific and Atlantic biomes (Vermeij & Roopnarine, 2008). The recent acceleration of summer sea-ice loss, now surpassing levels recorded since the Holocene Climatic Optimum (~8,000 years before present, estimated at +0.3 °C relative warming above pre-industrial levels; compared to +1.34 °C in the Arctic in 2024; Laakkonen et al., 2021; E.U. Copernicus Climate Change Service, 2025), is likely to facilitate renewed secondary contact between species and populations from the northern Atlantic and Pacific biomes (Brandt et al., 2023). Understanding genetic diversity and population structure in such species provide useful insights into the ecological and evolutionary processes that occur during range expansion under real and complex conditions (Sax et al., 2007; Moran & Alexander, 2014; Bridle & Hoffmann, 2022). It also provides a frame of reference to managers and policymakers to identify priorities and mechanisms for mitigating adverse effects of global changes on intraspecific diversity and for controlling future invasive populations (Chan et al., 2019).

Sea anemones are semi-sessile organisms reproducing using partial clonality (Bocharova & Kozevich, 2011; Bocharova, 2016). Aulactinia stella (Cnidaria, Anthozoa) is an intertidal and sublittoral species belonging to Actiniidae family. It was first observed and described on the eastern coast of the USA in the 19th century (Verrill, 1864), probably in the southernmost part of its distribution area. Its geographic range is rather circumpolar, along the coasts of the Arctic Ocean and of the northern parts of Atlantic and Pacific Oceans (Grebelnyi, 1980; Sanamyan & Sanamyan, 1998, 2006). First studies of A. stella populations in the Arctic Ocean, on the Murman Coast, were carried on about fifty years ago (Loseva, 1974). Adults of A. stella mainly live fixed to rocky ground, even if it can occasionally be found buried in sandy or muddy soils, hidden in crevices or fixed to debris (Bocharova, 2012). It feed predating smaller mollusks, crustaceans, fish larvae and other animals (Bocharova, 2012). The population density of A. stella ranges from 1 to 18 individuals per square meter in the littoral zone of the White Sea, and from 1 to 14 individuals per square meter along the Barents Sea coasts (Bocharova, 2012). In laboratory conditions, adults can survive for several decades, but their natural lifespan in the wild still remains unknown.

The life cycle of A. stella includes a swimming larval stage, which can be brooded by the parental anemone until it develops into a polyp. The polyp stage is benthic, but it retains the ability to be transported passively by water currents until it settles as adult on a solid substrate. In response to unfavorable abiotic or biotic conditions, many sea anemone species are capable of detaching from the substrate and temporarily drifting with tidal and coastal currents, a behavior that is particularly common when winter conditions become extreme (Riemann-Zürneck, 1998). Some circum-Antarctic and Arctic sea anemones present a distinct post-metamorphic juvenile stage, following the larval phase, during which they drift within pelagic currents (Riemann-Zürneck, 1998). To date, no comparable pelagic stage has been documented or investigated for A. stella despite the presence of a free-living polyp stage within the benthic fauna with similar potential (Bocharova, 2012). Reproduction occurs annually from May to October, with phenological variation depending on local environmental conditions, but a peak period between June and August (Bocharova, 2012). Along the Kamchatka coasts during this time, males release gametes passively into the water column, that are later ingested by females. Females brood the developing larvae internally (Bocharova, 2012). As for many circumpolar marine species, direct observations of reproductive and dispersal processes still remain unrealistic. Consequently, genetic analyses remain the most effective approach for inferring key biological and ecological traits of this species in natural conditions.

Developmental and histological evidence suggests that this species may reproduce through parthenogenesis (Bocharova, 2012). Preliminary analyses based on a limited number of mitochondrial and ribosomal sequences hypothesized that these populations are likely highly clonal and exhibit strong genetic structuring across the Arctic Ocean despite the region’s increasing ice melt over recent decades (Bocharova & Mugue, 2012; Bocharova, 2015). While these sequences were suitable for phylogenetic analyses, they lacked the resolution necessary required to confirm clonality and accurately characterize the genetic structure of A. stella populations. The recent development of microsatellite primer pairs now enables investigating the biology of this circumpolar sea anemone more precisely, using approaches based on genetic diversity and its spatial patterns (Bocharova et al., 2018).

In this study, we aimed to confirm the occurrence of clonal reproduction in natural populations of A. stella, quantify its extent and variability across the species’ range, and use high-resolution, polymorphic markers to accurately assess population structure throughout the Arctic Ocean.

To investigate clonal reproduction in this species, we analyzed genotypic and genetic indices across five geographically distinct sites spanning the Arctic Ocean, including locations in the northern Atlantic and northern Pacific. We leveraged previous sampling campaigns (2012–2017), which included fewer sites and greater temporal gaps in the Pacific. While this may influence some interpretations, our results still provide a robust overview of the species’ reproductive variation and current biogeography, especially given its laboratory lifespan of at least more than one decade.

A total of 314 individuals, representing two age cohorts, juveniles and adults, were sampled to estimate the contribution of clonal reproduction and its variation across the species’ range. By examining temporal changes in genotypic frequencies within each site, we aimed to infer the prevalence of clonal reproduction. We hypothesized that the limited energetic and physiological cost of clonal reproduction may facilitate the establishment and persistence of populations under harsh polar coastal conditions (Peck et al., 1998; Klimeš, 2008; Wang et al., 2018). Conversely, we also considered that the genetic recombination associated with sexual reproduction may promote the emergence of genotypes better adapted to local environments (Pierre et al., 2022). Our findings on reproductive modes are interpreted in the context of the specific ecological challenges faced by species expanding into previously unfavorable habitats.

In addition, we used the genotyped populations to assess genetic differentiation and identity in state between individuals and sampled sites. Sampling across the full distribution range allowed us to pinpoint regions with higher genetic diversity, which may correspond to historical refugia. By comparing genetic differentiation between juveniles and adults, we aimed to identify present-day or historical corresponding dispersal routes. Although A. stella was first described along the North Atlantic coasts, suggesting a possible Atlantic origin, previous limited sequence data instead indicated higher genetic diversity in North Pacific populations. If confirmed using more polymorphic and resolutive markers that are microsatellites, this may suggest a more recent expansion into the North Atlantic via the Arctic Ocean. Considering the free-living polyp stage which can disperse passively via marine currents, as well as the potential for semi-sessile adults to be transported on drifting debris or through human-mediated movement of materials, we expect a limited but ongoing level of gene flow facilitated by favorable summer sea conditions. Under this scenario, we would expect to observe shared probabilities of identity in state among populations and a stepping-stone pattern of genetic differentiation across the Arctic, potentially with preferential dispersal routes connecting sampled populations. Alternatively, considering populations evolving isolated due to current Arctic conditions for ~8,000 years (Holocene Thermal Maximum) or even ~125,000 years (last interglacial Eemian period), we would expect very distinct and strongly structured genetic diversity with even fixed and private alleles between populations (Slatkin & Takahata, 1985), out of artefactual homoplasy.

Ultimately, our findings will provide a baseline framework for understanding the genetic structure of this species across its Arctic distribution, offering critical insights at a time of profound environmental change in this region (Laakkonen et al., 2021; Brandt et al., 2023).

Materials and methods

Sample collection

In September 2012, we sampled at the low tide in the littoral zone 23 Aulactinia stella in the White Sea Biological Station of Moscow State University (WSBS), Kandalaksha Bay of the White Sea and 30 individuals at Liinkhamari, in the Varanger Fjord of the Barents Sea (see Bocharova 2015). We also sampled using SCUBA diving at 5-18 m depth in the sublittoral zone 29 individuals at the Cape Broyle in the Admirals Cove area, Newfoundland, Canada, in June 2017. Along Kamchatka coast of the Pacific Ocean, we collected 5 individuals in the Avachinsky Bay in June-July 2014 and 9 individuals in the Viluchinsky Bay in June-July 2016 at 5-21 m depth. We used these 14 Kamchatka adult individuals for mitochondrial DNA sequencing, but only 6 of them brooded juveniles. Therefore, for microsatellite analysis, we additionally analysed 3 females with their brooded offspring collected in the Avachinsky Bay in July 2012 (2 samples) and June 2013 (1 sample). At low tide, we sampled 20 individuals in the intertidal zone of the Matua Island of the Kuril Islands in August 2016 (see map of the sampled sites on Figure S1).

We checked that the phenotypic and biometric appearance of each individual belonged to A. stella species using descriptions in Loseva (1974), Fautin Dunn et al. (1980), Sanamyan and Sanamyan (2008), Sanamyan et al. (2019, 2020) and WoRMS (Rodríguez et al., 2025). In addition, we used nematocyst identification from tentacles, pharynx, body wall and mesentery (Manuel, 1981), and mitochondrial DNA sequence analysis to confirm the species. To analyze genetic diversity in two successive generations, we purposely genotyped large females and the juveniles they brooded in their gastrovascular cavity. The quantity of juveniles in such females varied from 1 to 39 per female and we sequenced them all.

DNA extraction, mtDNA sequencing and genotyping by microsatellite loci

We extracted the total DNA of each sampled adult and juvenile polyp. For each adult, we used a part of the adult pedal disk measuring approximately 3x3x3 mm; And for juveniles, we extracted DNA from the whole juvenile polyps which measured from 1 to 5 mm. For each sample, we desiccated and grinded the sampled tissues. We then used the Wizard SV Genomic DNA Purification System (Promega, USA) following the manufacturer’s protocol. Extracted DNA was preserved in 96% ethanol before genotyping.

For mitochondrial gene (12S rRNA, 16S rRNA, cytochrome oxidase III) sequencing, we only used adult subsamples: 23 individuals from the White Sea, 30 from the Barents Sea, 29 from Newfoundland, 14 from Kamchatka, and 20 from the Kuril Islands. We applied the primer sets and methodology thoroughly described for 16S rRNA and COIII (Geller & Walton, 2001) and 12S rRNA mitochondrial fragments (Bocharova 2015). Sequencing was performed by 3500 Genetic Analyzer (Applied Biosystems, USA) using BigDye Terminator v3.1 Cycle Sequencing Kit. The sequences were analyzed by Geneious Prime software. By concatenating these three mtDNA sequences (12S, 16S, COIII), we grouped the samples into haplotypes that were aligned and perfectly matched the five previously described haplotypes (Bocharova, 2015). Including these mitochondrial haplotypes (Pacific 1-5), we used geneHapR (Zhang et al., 2023) package to produce the haplotype network (Figure 2). We then used the extracted nuclear DNA to amplify 41 microsatellites using primer pairs previously developed in Bocharova et. al. (2018) for this species and another sea anemone species of Actiniidae family, Cribrinopsis albopunctata (Sanamyan & Sanamyan 2006, Sanamyan et al. 2019) with the corresponding PCR conditions. PCR products were visualized in 3500 Genetic Analyzer (Applied Biosystems, USA) using POP7 gel polymer. We analyzed the obtained chromatograms using GenMapper Software (ThermoFisher Scientific, USA). Out of these 41 primer pairs, only ten pairs (Act007, Act011, Act028, Act067, Act173, Act177, Act235, Act238, Act249, Act386,) successfully amplified and were polymorphic in our samples. We then multiplexed the ten microsatellites into four PCR pools using three specific dyes (TAM, ROX, FAM) for visualization: Pool 1) Act007 (FAM), Act011 (TAM); Pool 2) Act238 (FAM), Act249 (TAM), Act173 (ROX); Pool 3) Act067 (FAM), Act177 (ROX), Act386 (TAM); Pool 4) Act28 (TAM), Act235 (ROX).

To estimate if this marker set was powerful enough to distinguish between individuals, we computed the overall observed unbiased probability of identity in state under panmixia (hereafter overall pidu) and the overall observed unbiased probability of identity in state between sibs (overall pids) as recommended by Waits et al. (2001). To achieve allele dosage within each individual per locus, we used the dose-effect method with some modifications (Rodzen & Mаy, 2002; Drauch Schreier et аl., 2011). In cases of more than 1 allele, dose-effect is counted following the instruction (Figure S2): two alleles of almost the same height were considered as AABB (Figure S2A); One high allele and two low alleles as AABC (Figure S2B); One very high allele and one low allele as AAAB (Figure S2C); Tree alleles of the same height were considered as ABC + null allele (Figure S2D); One high allele and one allele half lower were considered as AAB + null allele (Figure S2E).

Analyses of genetic diversity within spatio-temporal samples

Parents that produce descendants by clonality can result to observe multiple times the same Multi-Locus Genotype (hereafter MLG) among the genotyped samples (Halkett et al., 2005; Arnaud-Haond et al., 2007). However, these repeated MLGs may also come from genetic marker lacking sufficient resolution to disentangle between descendants produced by sexual reproduction, either under panmixia (the lower probability to observe two identical sexual descendants) or between mating sibs (the higher probability to observe two identical sexual descendants). To estimate the power of our marker set to distinguish different individuals and assess the upper and lower bounds for the probability of observing identical MLG drawing a pair of individuals sampled in a same population, we therefore computed the probabilities of identity under panmixia (pidu) and considering only sib mating (pids; Jacquard, 1968, 1970; Waits et al., 2001) using formula adapted for tetraploid populations implemented in GenAPoPop software (Stoeckel et al., 2024).

To assess the level of genetic diversity within populations and compare between populations, for each age cohort in one site, we reported the sample size (N) and computed the average number of observed alleles Na and its variance V(Na) over the ten microsatellites, the average effective number of alleles Ae and its variance V(Ae), the average gene diversity He and its variance V(He), the average observed heterozygosity Ho and its variance V(Ho) and the average value of the inbreeding coefficient FIS and its variance V(FIS) over all loci.

We also computed genotypic indices including the number of unique genotypes (G), the unbiased genotypic richness R (Dorken & Eckert, 2001), the genotypic evenness as Pareto β to assess the potential uneven contribution of some clonal MLGs to the genotypic composition of populations (Arnaud-Haond et al., 2007; Bailleul et al., 2016).

We searched for clonal signatures in genetic diversity by analyzing FIS and its variance V(FIS) and the overall estimate of the linkage disequilibrium (\({\overline{r}}_{d}\), Agapow & Burt, 2001) as commonly interpreted using one-shoot samples (Halkett et al., 2005; Arnaud-Haond et al., 2020; Stoeckel et al., 2021a). Finally, to assess rates of clonality within spatial sites, we used the Bayesian estimate of rates of clonality using genotype frequency changes between adult and juvenile at the same sample site (ClonEstiMate, Becheler et al., 2017 adapted to autpolyploids in GenAPoPop Stoeckel et al., 2024).

To assess the genetic structure between populations and generations, we computed temporal and spatial 𝜌𝑆𝑇 (Ronfort et al., 1998) using GenAPoPop, and plotted the unrooted minimum spanning tree between individuals using their pairwise number of shared alleles (identity-in-state) using the classical equal-angle algorithm (Felsenstein, 2004) to picture the coancestry between individuals across populations at our marker set. To assess the dynamics (speed and direction) of genetic diversity along sampling sites, we compared juvenile and adult subpopulations sampled at the same sites and between sites computing the corresponding 𝜌𝑆𝑇. We also used a Discriminant Analysis of Principal Components (DAPC, Jombart et al., 2010) to investigate the genetic structure of our five sites and tens cohorts. We chose to retain 80 principal component eigenvalues. We used a knee locator approach to find the minimal number of clusters best structuring the differentiation between individuals and groups. We verified this value by increasing and decreasing the number of clusters and checking that we obtained the same groups and distribution of clusters among sites and cohorts.

Statistical analyses

To test if distribution of population genetic indices were significantly different between Arctic-Atlantic and Pacific populations and between juveniles and adults, we used Mann-Whitney test and reported the median values of the two groups (mediangroup1 versus mediangroup2) in the order they are mentioned, the sum of the rank of the first group (U), the number of measures in each group (n1=4 for the cohorts sampled on the Pacific side of the Arctic Ocean and n2=6 for the cohorts sampled on the Atlantic side) and the probability value (p) of the hypothesis that the two groups have identical distribution of their genetic indices. To compare 𝜌𝑆𝑇 between juveniles and adults among pairs of the same sites, we used Wilcoxon signed rank test. We reported the median 𝜌𝑆𝑇 value of the two groups (mediangroup1 versus mediangroup2) in the order they are mentioned, the sum of the ranks of the differences above zero (W) and the probability value (p) of the hypothesis that the two age cohorts have identical distribution of 𝜌𝑆𝑇.

All these tests were performed using python 3.11 and Scipy.stats 1.13 (Virtanen et al., 2020).

Results

We genotyped 314 individuals of Aulactinia stella sampled on five sites, including a total of 75 adults, ranging from 9 to 21 with a median of 15 adults per site, and a total of 239 juveniles, ranging from 6 to 93 with a median of 49 juveniles per site (Table 1). We found both females and males in the Kamchatka population, whereas we found only females in the Kuril Islands, Newfoundland, the Barents and the White Seas. For subsequent genetic analyses, we only used the adult females from each site.

We found 15 brooding females in White Sea, 21 in Barents Sea, 14 in Newfoundland, 9 in Kamchatka and 19 in Kuril Islands sampled sites. The oral disc diameter of mature females varied from 10 to 45 mm while the overall size of the juveniles released from the gastrovascular cavities of the adults varied from 1 to 5 mm.

Table 1 - Summary of population genetic indices in ten spatio-temporal populations of Aulactinia stella. For each age cohort at one site, are reported the sample size N, number of genotypes G, genotypic richness R, genotypic evenness Paretoβ, overall estimate of linkage disequilibrium LD as \({\overline{r}}_{d}\), average number of observed alleles Na and its variance V(Na) over the ten microsatellites, average effective number of alleles Ae and its variance V(Ae), average observed heterozygosity Ho and its variance V(Ho), average gene diversity He and its variance V(He), average value of the inbreeding coefficient Fis and its variance V(Fis) over all loci, unbiased probability of identity under panmixia pidu and between sibs pids.

Site

Age cohort

N

G

R

Paretoβ

\({\overline{\mathbf{r}}}_{\mathbf{d}}\)

Na

V(Na)

\({\overline{\mathbf{A}}}_{\mathbf{E}}\)

V(\(\mathbf{A}_{\mathbf{E}}\))

\({\overline{\mathbf{H}}}_{\mathbf{O}}\)

V(\(\mathbf{H}_{\mathbf{O}}\))

\({\overline{\mathbf{H}}}_{\mathbf{E}}\)

V(\(\mathbf{H}_{\mathbf{E}}\))

\({\overline{\mathbf{F}}}_{\mathbf{IS}}\)

V(\(\mathbf{F}_{\mathbf{IS}}\mathbf{)}\)

pidu

pids

Kamchatka

Adults

6

6

1.000

1.807

0.011

3.0

30

2.2

17.27

0.294

0.488

0.416

0.590

0.292

1.635

1.1E-8

0.0043

Juveniles

49

48

0.979

4.615

0.122

5.2

151.6

2.4

24.25

0.314

0.397

0.460

0.534

0.318

1.156

1.6E-7

0.0093

Kuril Islands

Adults

19

19

1.000

3.322

0.026

4.6

84.4

2.5

46.90

0.176

0.121

0.438

0.640

0.598

1.016

9.9E-9

0.0040

Juveniles

30

30

1.000

3.954

0.077

5.7

234.1

2.5

53.09

0.188

0.301

0.372

0.891

0.494

0.948

1.9E-9

0.0026

Barents Sea

Adults

21

10

0.450

0.302

0.444

2.5

14.5

1.4

0.98

0.197

0.425

0.223

0.287

0.115

3.124

3.8E-4

0.1901

Juveniles

6

2

0.200

0.591

1.000

1.2

1.6

1.2

1.42

0.125

0.628

0.097

0.376

-0.290

13.323

0.0776

0.5125

Newfoundland

Adults

14

12

0.846

1.807

0.025

2.1

18.9

1.4

6.47

0.165

0.656

0.170

0.512

0.024

4.971

0.0011

0.1556

Juveniles

61

28

0.450

0.716

0.076

1.8

9.6

1.4

6.63

0.158

0.747

0.178

0.596

0.112

4.875

0.0019

0.1606

White Sea

Adults

15

5

0.286

0.129

0.619

1.9

18.9

1.6

7.81

0.314

1.526

0.238

0.886

-0.322

10.807

2.3 E-4

0.0635

Juveniles

93

28

0.293

0.261

0.268

3.0

48

1.7

8.53

0.308

1.447

0.266

0.912

-0.157

7.841

3.9E-5

0.0358

Over All

Both

314

180

0.572

0.482

0.293

11.1

468.9

2.1

6.24

0.243

0.387

0.440

0.454

0.448

0.870

8.3E-9

0.0045

Gene, allele and genotypic diversities in nuclear microsatellites

Gene, allele and genotypic diversities in nuclear microsatellites were consistent over generations (Table 1). We found a maximum of four different alleles for each locus in one individual over all our samples and concluded that A. stella must be at least an autotetraploid species. Using our ten microsatellites, the mean numbers of alleles per locus per site and developmental stage ranged from 1.2 to 5.7, with a median of 2.75. The mean effective numbers of alleles per locus per site and developmental stage ranged from 1.19 to 2.53 with a median of 1.69. Over all samples, probability of identities under panmixia was 8.3×10-9 and probability of identity between sibs was 4.5×10-3. These low probabilities that two individuals generated by sexual reproduction would result into similar genotypes advocated that the ten microsatellites we used were powerful enough to genetically distinguish between sexual descendants, even resulting from a sib mating (Waits et al. 2001). We thus considered afterward that individuals with identical MLGs were individuals of the same clone (i.e., ramets of a same genet).

Over all sites and cohorts, we found 154 unique MLGs and 26 of these MLGs were found repeated in more than one sampled individual, i.e. genets with more than one ramet (Table S1). In Kuril Islands, we genotyped no repeated MLG. In Kamchatka, we found three individuals of the same clone. In Barents Sea, we found three repeated MLGs, including respectively two, five and thirteen ramets. In White Sea, we found eight repeated MLGs involving two to forty ramets, for a total of 88 ramets. In Newfoundland, we found fourteen repeated MLGs involving two to eleven ramets, for a total of 49 ramets. All ramets of repeated MLGs were exclusively sampled on the same site. In all populations with repeated MLGs, repeated MLGs were found both in adults and in juveniles. Some of these genets were even shared by adults and juveniles, except in the Newfoundland samples.

We found higher genetic and genotypic diversity, and lower probabilities of identity on the Pacific side sites (i.e., Kuril and Kamchatka) than found on the Atlantic side of the Arctic Ocean (i.e., Newfoundland, Barents and White Seas), even if differences among sites within oceans still remained on some indices (Table 1). The four cohorts sampled in Kuril Islands and in Kamchatka showed nearly twice more average gene diversity, ranging from 0.372 to 0.460, than found in the six cohorts sampled in Newfoundland, Barents and White Seas, that ranged from 0.097 to 0.266 (0.427 versus 0.174, U=24, n1=4, n2=6, p=0.009), while they both showed similar standard deviation of gene diversity over all loci (U=15, n1=4, n2=6, p=0.610; Table 1). Cohorts in the Pacific sites also showed significantly higher mean numbers of alleles per locus (4.9 versus 2.0, U=23.5, n1=4, n2=6, p=0.019) and higher effective number of alleles (2.43 versus 1.43, U=24, n1=4, n2=6, p=0.009).

Kamchatka and Kuril samples showed higher genotypic richness measured as R than populations on the Atlantic side (1.00 versus 0.37, U=24, n1=4, n2=6, p=0.009) and higher genotypic evenness measured as Pareto β values (3.64 versus 0.45, U=23.5, n1=4, n2=6, p=0.019). Over all loci, Kamchatka and Kuril samples showed lower probabilities of identity under panmixia (<10-6 versus 0.003, U=0, n1=4, n2=6, p=0.009) and between sibs (0.008 versus 0.118, U=0, n1=4, n2=6, p=0.009) than found in samples from the Atlantic side.

Heterozygosity and deviation from the genotypic proportions expected under Hardy-Weinberg hypotheses

We found no difference in observed heterozygosity between cohorts on the Pacific and Atlantic sides (0.241 versus 0.181, U=15, n1=4, n2=6, p=0.61), though variance of observed heterozygosity between loci was nearly two times higher in cohorts on the Atlantic side (0.389 versus 0.701, U=1, n1=4, n2=6, p=0.019). Mean Fis over all loci were significantly lower in Newfoundland, the Barents and the White Seas than in Kamchatka and Kurils (0.406 versus -0.066, U=24, n1=4, n2=6, p=0.009) and even negative in the juvenile cohort of Barents Sea, and in adults and juveniles of White Sea. Variances of Fis values between loci were significantly higher, three to ten times, in cohorts on the Atlantic side (1.08 versus 6.41, U=24, n1=4, n2=6, p=0.009), than found in populations on the Pacific side. Though linkage disequilibrium seemed higher in cohorts on the Atlantic side, they were not significantly different from values measured in cohorts on the Pacific side (0.051versus 0.356, U=5, n1=4, n2=6, p=0.171).

Estimated rates of clonality using temporal genotype frequencies

Credible intervals including 99% of posterior probabilities of rates of clonality estimated from temporal samples were quite sharp, spanning around their peaks on a range of 0.06 to maximum 0.25 (Figure 1). Clonality was intermediate in the Kuril Islands and Kamchatka, but very high in the Barents Sea, the White Sea, and Newfoundland.

Figure 1 - Posterior density probabilities of estimated rates of clonality using changes of genotype frequencies over one generation for each sampled site using ClonEstiMate method for autopolyploids in GenAPoPop software (Becheler et al., 2017; Stoeckel et al., 2024) on the ten nuclear microsatellites. Kuril Islands in blue, Kamchatka in green, Newfoundland in red, White Sea in pink and Barents Sea in gold.

Genetic structure between sites using mitochondrial gene sequences

Using three gene sequences (12S, 16S, COIII), we found that all the 82 adults sampled on the Atlantic side (Newfoundland, the White and the Barents Seas) shared the same mitochondrial haplotype, Pacific-3 (classification according to Bocharova, 2015; GenBank Accession Numbers: 12S: KT310190, 16S: KT310200, COIII: KT310212). On the Pacific side, all the 20 individuals sampled in the Kuril Islands belonged to another mitochondrial haplotype, Pacific-1 (GenBank Accession Numbers: 12S: KT310188, 16S: KT310198, COIII: KT310210) while Kamchatka’s samples distributed among five mitochondrial haplotypes (Figure 2).

Figure 2 - Haplotype network using three mitochondrial gene sequences (12S, 16S, COIII). The proportion of each sampled site per haplotype is represented in color. The circle sizes of each haplotype are proportional to their number in our dataset. We used haplotype names initially identified in Bocharova (2015), thus Pacific 1 to 5. We found no new haplotypes.

Genetic differentiation between sites and cohorts using nuclear microsatellites

Among adults, genetic differentiation between sites ranged from 0.155 to 0.612 while among juveniles, genetic differentiation between sites ranged from 0.105 to 0.530 (Table S2). Within each sampled site, 𝜌𝑆𝑇 between adults and juveniles ranged from 0.009 to 0.088, therefore between six to eleven times lower than between sites. Between sites, adults were more genetically structured than juveniles (0.366 versus 0.245, W=43, p=0.065; Figures 3, S1, S3). Considering the adults and juveniles together by site, genetic differentiation between sites ranged from 0.096 to 0.521 (Table S2a). Globally, in juveniles, 𝜌𝑆𝑇 between sites showed very close values and followed ranks of geographical and along-the-coast distances (Table S2b, Figure S1). In contrast, adults of White Sea appeared highly genetically isolated from the other sites, excepted from juveniles in Newfoundland. 𝜌𝑆𝑇 genetic differentiation hierarchically structured the samples into one Pacific side group and one Atlantic side group then subdivided by sites and then by age cohorts (Table S2b, Figure 3).

Figure 3 - Oriented graph of 𝜌𝑆𝑇 values among sites and cohorts (vertices), based on ten nuclear microsatellite loci. Orange arrows (edges) and the 𝜌𝑆𝑇 values in boxes illustrate pairwise genetic differentiation between sites, allowing inference of the dynamics and direction of genetic spread. Comparisons of 𝜌𝑆𝑇 values among adults (blue boxes) and juveniles (green boxes) between site pairs reveal temporal genetic differentiation, even if apparent increases or decreases in genetic differentiation may arise by chance due to sampling variability within the same underlying distribution, or as a result of homoplasy or gene flow between populations. For instance, adults from the Barents Sea are twice as identical in state with Newfoundland juveniles as adults from Newfoundland are with Barents Sea juveniles, suggesting preferential gene flow from the Barents Sea toward Newfoundland. Moreover, genetic differentiation between Newfoundland and Barents Sea adults is approximately twice that observed between juveniles, indicating either enhanced gene flow among juveniles or processes promoting endemism in established adults.

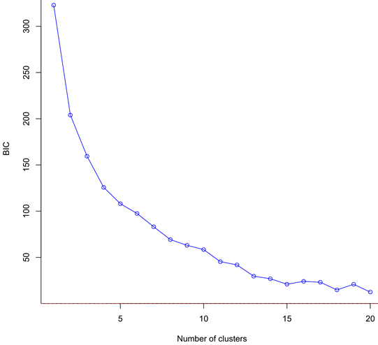
This hierarchical genetic structure was congruently supported by the DAPC results (Figure 4). Interestingly, the Bayesian information criteria of the DAPC decreased continuously with the increasing number of clusters, as expected in a spatial stepping-stone model (Figure S4). The minimal number of clusters maximizing the distance between groups was 4. Whatever the number of clusters, DAPC grouped together individuals of Barents Sea and Newfoundland into one common and compact group, while the other sites each stood for their own genetic groups with couples to handful individuals assigned to other groups. Looking at the genetic structure between cohorts and sites, juveniles from the Kuril Islands shared more genetic diversity with adults from Kamchatka than the inverse (Figure 2). Adults of Barents Sea shared more similar genetic diversity with juveniles of Newfoundland and of White Sea than the inverse. DAPC proportion of each individual assigned to one DAPC cluster also supported this dynamic tendency (Figure 4): one descendant sampled in Kuril was assigned to Kamchatka genetic cluster; Three adults sampled in Kamchatka were assigned to Barents-Newfoundland genetic cluster and one adult sampled in Barents Sea was assigned to Kamchatka genetic cluster; Four adults sampled in Barents Sea were assigned to white sea genetic cluster, and one adult and ten descendants sampled in White Sea were assigned to Barents-Newfoundland genetic cluster.

Figure 4 - Discriminant Analysis of Principal Components of the genetic structure of Aulactinia stella across the Arctic Ocean using the ten nuclear microsatellites. We found four clusters being the minimal number of clusters maximizing the distance between groups (see Figure S4). Individuals are represented as columns corresponding to the membership probability to the four supported clusters (in color). Sampled sites are represented successively, separated by a large white bar. Within each site, adults are on the left side of the dashed vertical black line and juveniles on the right.

Similarly, the minimum spanning tree of pairwise genetic distances between individuals showed two main groups, one including Kurils and Kamchatka (Pacific side group), and one including Newfoundland, Barents and White Seas (Atlantic side group, Figure 5). Atlantic side group showed more compact genetic distances between individuals than found in the Pacific side group. Atlantic side group also showed more star and chaplet topological subgraphs, commonly observed in clonal lineages (Stoeckel et al., 2024). In accordance with 𝜌𝑆𝑇, juveniles were more centrally connected in this network and less genetically distant to the other populations than the adults within each site. Some pairwise genetic distances between individuals within site, like in Kamchatka, were larger than between two individuals from different sites (Figure 5, e.g. Kamchatka’s individuals linked to White and Barents seas individuals).

Figure 5 - Minimum spanning tree of the genetic differentiation between sampled sites and cohorts of A.stella using pairwise 𝜌𝑆𝑇 using the ten nuclear microsatellites. Kamchatka adults and juveniles respectively in green and pale green; Kuril adults and juveniles respectively in dark blue and blue; Barents sea adults and juveniles respectively in gold and pale gold colors; White sea adults and juveniles respectively in pink and pale pink; Newfoundland adults and juveniles respectively in dark red and red.

Discussion

We investigated reproductive modes, genetic diversity and differentiation in five populations of the autotetraploid sea anemone Aulactinia stella, sampled from North Pacific, Arctic, and North Atlantic coasts using three mitochondrial markers and ten nuclear microsatellites. A. stella is broadly distributed throughout the northern hemisphere where it is an important semi-sessile predator in shallow-water communities and prey for higher trophic levels (Ottaway, 1977). We genotyped two successive age cohorts from each of the five sites. We benefited from past sampling campaigns (from 2012 to 2017) to genotype individuals, with fewer sites and greater temporal dispersion in the Pacific Ocean: This could conceivably influence our results.

The ten nuclear microsatellites we used offered sufficient power to distinguish clones from inbred offspring. Despite our standardized and reproducible protocol for allele dosage inference (Figure S2), tetraploid microsatellite datasets remain sensitive to technical biases, particularly those arising from null alleles and amplification biases, which may affect quantitative estimates prior to downstream analyses.

Genetic differentiation in A. stella revealed a hierarchical structure: first separating into a Pacific and an Arctic-Atlantic group, each of which was further subdivided by sampling site, and then by age cohort. This type of structure closely resembles patterns seen in the intertidal macroalga Fucus distichus and in other Arctic and peri-Arctic sessile coastal marine species (Coyer et al., 2011; Bringloe et al., 2020). Environmental factors, rather than species-specific biological or behavioral traits, may thus likely be the primary drivers of genetic differentiation in this region. We therefore examined reproductive modes and assessed genetic diversity and differentiation across these hierarchical groups.

Reproductive modes in Aulactinia stella populations

We found strong genetic evidence that A. stella reproduces clonally in natural populations, consistent with the absence of males in some sites and with previous observations of embryos developing parthenogenetically within parental mesenteries (Bocharova, 2012, 2015; Kaliszewicz et al., 2012). In the North Pacific, repeated multilocus genotypes (MLGs) were rare; however, genetic indices, including interlocus FIS variances close to 1 and low levels of linkage disequilibrium, indicated intermediate levels of clonality (Navascués et al., 2010; Stoeckel et al., 2021a,b, 2024). It was further supported by changes in genotype frequencies between adults and juveniles, which yielded clonality estimates of 0.37 to 0.65 (Becheler et al., 2017; Stoeckel et al., 2024). The high clonal evenness in these populations likely reduced the probability of resampling identical MLGs (Arnaud-Haond et al., 2007, Stoeckel et al., 2021a).

In contrast, Arctic and North Atlantic populations, characterized by lower allelic diversity, exhibited extensive clonality. Many individuals shared identical MLGs, and population-level genetic indices, including negative mean FIS, large variance of FIS across loci, and significant linkage disequilibrium, indicated high rates of clonal reproduction (Halkett et al., 2005; De Meeûs et al., 2006; Navascués et al., 2010; Stoeckel et al., 2021a; Abdalrahem et al., 2025). Consistently, clonality rates inferred from changes in genotype frequencies between adults and juveniles ranged from 0.74 to 1.0 in Arctic and North Atlantic populations, nearly twice the rates estimated for the North Pacific.

The advantages of clonal reproduction at the limits of species’ ranges

High levels of uniparental reproduction, including clonality, are commonly observed in species expanding into new or marginal environments (Barrett, 2015; Pannell et al., 2015; Burke & Bonduriansky, 2019, Pereyra et al., 2023), particularly when enduring harsh conditions (Klimeš 2008) and when heading towards the poles (Peck et al., 1998). The post-glacial Baltic sea provides several examples, including the emblematic case of Fucus vesiculosus (Johannesson & André 2006; Pereyra et al., 2009; 2023). In plant species, the persistence of connection between ramets (mainly by roots) offers ecological advantages that may alone explain the prevalence of clonality at range margins, including regeneration after injury, distribution of physiological functions among ramets, translocation of resources between interconnected ramets (clonal integration) and space monopolization using different strategies (including phalanx versus guerrilla) to address intra- and inter-specific competitions depending on the environmental context (Cadotte et al., 2006; Roiloa, 2019; Franklin et al., 2021).

In contrast, dispersed clones in marine species such as A. stella do not benefit from such clonal integration. In this context, clonality should only favor kin cooperation (e.g., through brooding or cooperative behavior Bocharova, 2012; Rudin & Briffa, 2012) but more importantly it should favor the persistence of local populations under harsh conditions by avoiding the energetic and biological costs of sexual reproduction (Klimeš, 2008; Pierre et al., 2022).

Baker (1955) postulated that uniparental reproduction (including clonality) provides a critical advantage for colonization: individuals arriving in new areas can reproduce clonally to establish. First, clonality allows a population to maintain itself locally until compatible mates become available (Baker & Stebbins, 1965, Daly et al., 2023). This hypothesis is particularly relevant for gonochoristic (or dioecious) sessile organisms that require close proximity for successful sexual reproduction (Barrett, 2015), such as in sea anemones. Second, in new harsh environments, clonal individuals that manage to survive minimize the risks of genetic reassortment associated with sexual reproduction for their offspring (Peniston et al., 2021; Pierre et al., 2022). Third, clonality maintains higher effective population sizes than in identical more sexual populations (Reichel et al. 2016; Stoeckel et al., 2021b). Clonality limits the negative effects of genetic drift during founder events, including the fixation of deleterious alleles in small populations (Navascués et al., 2010; He et al., 2024).

Our results in A. stella, which indicated a twofold increase in clonality at the species’ range edge, suggest that clonal reproduction may play an important role in supporting population persistence and in maintaining higher effective population sizes and the more adapted genotypes under unfavorable conditions during range expansion (Baker’s conjecture, Pannell et al., 2015; Rafajlović et al., 2017; geographic parthenogenesis, Peck et al. 1998), without necessarily relying on mechanisms such as clonal integration (as proposed in plants) or habitat modification (as suggested for ecological engineering species) to explain clonal success.

Aulactinia stella spreading across the Arctic Ocean from north Pacific?

Genetic diversity was nearly twice as high in North Pacific populations compared to Atlantic ones. Kamchatka and Kuril Islands harbored the greatest allelic and genotypic diversity, whereas Newfoundland, Barents Sea, and White Sea populations showed more compact identities in state. All Arctic and North Atlantic individuals carried the Pacific-3 haplotype, rare in the Pacific, while Kuril populations were fixed for Pacific-1, the dominant haplotype in Kamchatka. This distribution, considering our samples, suggests a North Pacific origin, with Kamchatka as a likely glacial refugium (He et al., 2024). In contrast, Arctic and North Atlantic populations may be more recently established (since the last glaciation) or alternatively, may have originated from smaller, more localized glacial refugia, evolving relatively isolated since the last warmer interglacial period (Eemian, minimum ~116,000 years ago). But the DAPC results (Figure S4) and pairwise genetic distance (Figure 5) supported a stepping-stone genetic structure between sites and genetic groups rather than isolated as expected in an island model with no migration (Jombart et al., 2010). Interestingly, the path of the lowest 𝜌𝑆𝑇 genetic structure between sites align with major summer currents (e.g., Anadyr, Beaufort gyre, transpolar drift), areas of low ice cover, and coastal distances (Rudels & Carmack, 2022; Timmermans & Marshall, 2020; Constantin & Johnson, 2023) and increasing Arctic maritime traffic that may further accelerate dispersal, either through ballast water transport or passive enhancement by ship wakes (Melia et al., 2016; Boylan, 2021; PAME, 2024). Alterations in Arctic Ocean conditions, together with increasing human activities (including anthropogenic contributions to floating debris, ship-generated wake currents, and maritime transport of materials) may facilitate connectivity among A. stella populations, potentially via stepping-stone dispersal along coasts during the free-living polyp stage. Since at least 1993, temperatures in the upper 10 m of the water column have commonly reached 8–10 °C in coastal and sheltered bays, and 2–3 °C in the open sea, with higher temperatures in coastal and tidal currents along the Eurasian Arctic coasts, making this migration physiologically feasible (Locarnini et al. 2024; E.U. Copernicus Marine Service, 2024). These maritime and tidal currents are estimated to transport approximately 1 Sverdrup, a volume comparable to the combined mean discharge of all the world’s rivers, but substantially lower than the Gulf Stream, which rather transports 60–90 Sverdrups (Constantin & Johnson, 2023). Taken together, these factors may explain the reduced genetic differentiation observed among juveniles within the established stepping-stone connectivity pattern of A. stella populations. Similar genetic patterns along with evidence for human-mediated dispersal have been reported for the coastal sea anemone Diadumene lineata (Glon et al., 2020), which, however, is more fecund and lacks the brooding behavior observed in A. stella.

Nevertheless, the biology of A. stella, like that of many Arctic marine organisms, remains poorly understood once individuals move beyond nearshore habitats and become inaccessible to direct observation. In particular, dedicated studies are needed to determine whether this Arctic sea anemone can persist while attached to debris or as free-living polyp or adult drifters within coastal and tidal currents, potentially enabling effective migration across the Arctic Ocean.

Juveniles less genetically structured than adults: methodological artifacts or gene flow with local endemism?

Comparisons of genetic diversity between adults and juveniles revealed slightly lower levels of genetic differentiation among juveniles (Figure S3). Several non-exclusive hypotheses could explain this pattern, requiring further research to disentangle their relative contributions. Methodological artefacts must first be ruled out through more geographically balanced and systematically designed sampling. Using polymorphic markers with lower mutation rates could also help distinguish genuine shared ancestry from homoplasy that has higher chance to occur in microsatellite loci across distant populations.

Clarifying the life cycle of A. stella, particularly the dynamics of clonal interference and mortality during recruitment, will be essential to assess whether reduced genetic structure in juveniles and the absence of shared multilocus genotypes (MLGs) across sites reflect local genetic endemism, gregarious behavior promoting shared ancestry (as found in other sea anemone species: Lane et al., 2020; Ryan et al., 2021), or persistent founder effects with limited gene flow. A. stella occupies a range of habitats, such as the Barents and White Seas, which differ significantly in salinity despite their proximity (~100 km). Environmental factors, including temperature, salinity, depth, tidal exposure, and substrate disturbance, are known to influence reproductive modes and genetic differentiation (Eriksson & Johansson, 2005; Krueger-Hadfield et al., 2013; Berković et al., 2014; Dudgeon et al., 2017; McMahon et al., 2017; Ryan & Miller, 2019; Williams et al., 2024). Similar habitat-driven patterns are observed in other sea anemones, such as Actinia tenebrosa and Diadumene lineata, where localized clonal distributions and endemic lineages correlate with temperature, salinity, UV exposure, and community composition (Sherman & Ayre, 2008; Ryan et al., 2021). It may explain the higher genetic differentiation found in adults between sites.

Restricted dispersal or local adaptation in Aulactinia stella?

No MLGs were shared between sampling sites, even over relatively shorter distances (e.g., Barents vs. White Sea, ~360 km; Kuril Islands vs. Kamchatka, ~680 km). The presence of local, site-specific clones and high levels of genetic differentiation between adult populations is common in cold-water sea anemones, including A. tenebrosa, Anthothoe albocincta, Diadumene lineata, and several North Pacific species (Veale & Lavery, 2012; Sherman et al., 2007; Ryan et al., 2021; Edmands & Potts, 1997), which contrasts with tropical species that often share genets across hundreds of kilometers (Russo et al., 1994; Emms et al., 2020). Such patterns would suggest that Arctic conditions may constrain and challenge the dispersal of sea anemones (Chan et al., 2019), but other passively dispersing taxa in cold-water habitats such as macroalgae, seagrasses, and bivalves, show weaker population structure (Coolen et al., 2020; Pereyra et al., 2023; Krueger-Hadfield et al., 2021). In fact, polyp stage commonly allows locally-active and passive transport by tidal flows and circumpolar maritime currents, facilitating long-distance dispersal (Riemann-Zürneck, 1998). For instance, Urticina eques exhibits very low differentiation over hundreds of kilometers along the British coast (Cava-Solé et al., 1994). In the case of A. stella, Arctic populations may have only narrow temporal windows of suitable thermal conditions for successful sexual reproduction, particularly in the intertidal and shallow sublittoral zones. These habitats are also characterized by extreme variability in salinity and desiccation at low tide. In such habitats, A. stella is often found hiding under Fucus algae, in rock crevices, or in tide pools, behaviors that indicate exposure to environmental stress. Local environmental filtering through selection and post-settlement mortality (e.g., Fucus vesiculosus: Johannesson & André, 2006; Pereyra et al., 2009; Fucus distichus: Laughinghouse et al., 2015; Actinia tenebrosa: Sherman et al., 2008; seagrasses: Kendrick et al., 2012; Acropora millepora: Van Oppen et al., 2011), as well as individual habitat preferences and gregarious settlement (e.g., Diadumene lineata: Ryan et al., 2021), may explain the roughly twofold higher genetic differentiation observed among adults compared to juveniles in A. stella. These patterns highlight the need for further ecological and behavioral studies to clarify the potential mechanisms and temporal dynamics of dispersal in this species in the Arctic Ocean.

Data Availability

All data (including adults, juveniles, MLG genotypes, sampling GPS locations, and clone sizes) as well as the scripts used to reproduce the results and figures, are openly available on Zenodo (https://doi.org/10.5281/zenodo.17193174; Stoeckel & Bocharova, 2025).

Acknowledgements

The authors thank N.P. Sanamyan, K.E. Sanamyan, B.V. Osadchenko and I.A. Kosevich for providing material and assistance in species identifications, N.S. Mugue, T.V. Neretina, A.E. Barmintseva and S.D. Grebelnyi for professional consultations, A. Mercier, J.-F. Hamel, E. Montgomery and the Ocean Sciences Field Services of Memorial University for their assistance with the animal collections. We thank Patricia Nadan and Pascale Le Névé (INRAE IGEPP) for their administrative support along this project.

Preprint version 3 of this article has been peer-reviewed and recommended by Peer Community In Evolutionary Biology (https://doi.org/10.24072/pci.evolbiol.100866; Nabholz, 2025). We warmly thank Benoit Nabholz, Kerstin Johannesson, Malgorzata Lagisz and one anonymous reviewer for their insightful comments that helped improving our manuscript and its data availability and reproducibility.

Funding

This work was funded by the Russian Foundation for Basic Research (Grant No. 16-04-01685 to E.S. Bocharova), by the French National Research Agency (project Clonix2D ANR-18-CE32-0001 to S. Stoeckel) and the French Embassy in the Russian Federation (Metchnikov Stipend 2019 to E.S. Bocharova).

Author contributions

EB and SS laid the foundation of this work while EB visited SS lab in 2018 and 2019. EB and SS conceived the study and were responsible for funding applications. EB was responsible for data acquisition. She supervised and achieved sample collection, determined the species and sexed the sampled individuals. She also conceived, developed the sequences and microsatellites, supervised and achieved sequencing and genotyping of all the samples. From sequencing machines, she genotyped the samples. AV contributed to methodology, supervision and administration of data acquisition. EB performed data analyses and produced figure on mitochondrial sequences. SS performed data analyses and produced tables and figures on microsatellites. SS and EB tracked and managed the bibliography, interpreted results, wrote the manuscript and managed its edition. All authors read and approved this manuscript.

Conflict of interest disclosure

The authors declare that they comply with the PCI rule of having no financial conflicts of interest in relation to the content of the article.

Appendices

Figure S1 - Minimum spanning tree of A). the 𝜌𝑆𝑇 of adults, B). the 𝜌𝑆𝑇 of juveniles and C). the 𝜌𝑆𝑇 of all age cohorts over all loci between sampled sites.

Figure S2 - Counting of allele dosage of the microsatellite locus 249TAM (as an example) in Aulactinia stella (within each individual per locus): A). 129, 129, 133, 133 (AABB), B). 129, 129, 137, 141 (AABC), C). 137, 137, 137, 141 (AAAB), D). 129, 133, 137 (ABC+null allele), E). 133, 133, 137 (AAB+null allele).

Figure S3 - Distributions of 𝜌𝑆𝑇 between pairs of sites among juveniles and adults (light blue violin plots). We reported the probability that difference of 𝜌𝑆𝑇 between juveniles and adults would be due to a random (sampling, locus) effects as a Wilcoxon test (significance bar), the 𝜌𝑆𝑇 values in each age cohort (Black dots), the extremum and mean values (dark blue bars).

Figure S4 - Change of the Bayesian information criteria (BIC) with increasing number of genetic clusters used in the Discriminant Analysis of Principal Components to investigate the genetic differentiation between individuals and among sampled sites and cohorts. The continuously decreasing pattern observed is typical of a stepping-stone structure of the studied demes.

Table S1 - Distribution of repeated multi-locus genotypes (MLGs) within sites and MLGs shared between adults and juveniles. MLG or genet identifier (Genet ID), the number of ramets within the genet and if the considered genet has been found in adults, juveniles or both are reported. No repeated MLG was found in Kuril islands sampled genotypes.

Site

Genet ID

Number of ramet

In the two cohorts?

Kamchatka

MLG123

3

Both

Barents

MLG32

2

Adults

Barents

MLG54

5

Both

Barents

MLG26

13

Both

Newfoundland

MLG12

2

Adults

Newfoundland

MLG7

2

Juveniles

Newfoundland

MLG37

2

Juveniles

Newfoundland

MLG67

2

Juveniles

Newfoundland

MLG11

2

Adults

Newfoundland

MLG5

2

Juveniles

Newfoundland

MLG19

2

Juveniles

Newfoundland

MLG6

3

Juveniles

Newfoundland

MLG62

3

Juveniles

Newfoundland

MLG52

3

Juveniles

Newfoundland

MLG63

4

Juveniles

Newfoundland

MLG68

4

Juveniles

Newfoundland

MLG53

7

Juveniles

Newfoundland

MLG57

11

Juveniles

White Sea

MLG47

2

Juveniles

White Sea

MLG15

3

Juveniles

White Sea

MLG66

3

Both

White Sea

MLG44

4

Both

White Sea

MLG22

4

Both

White Sea

MLG38

8

Both

White Sea

MLG16

24

Juveniles

White Sea

MLG46

40

Both


Table S2 - Pairwise 𝜌𝑆𝑇 between sites (A) and between age cohorts within sites and among sites (B).

A)

Barents

#

Kamchatka

0.411

#

Kuril

0.364

0.168

#

Newfoundland

0.096

0.352

0.315

#

White sea

0.442

0.348

0.521

0.167

#

Barents

Kamchatka

Kuril

Newfoundland

White sea

B)

Barents

A

#

J

0.088

#

Kamchatka

A

0.381

0.337

#

J

0.383

0.133

0.014

#

Kuril

A

0.361

0.482

0.155

0.221

#

J

0.422

0.290

0.122

0.183

0.103

#

Newfoundland

A

0.238

0.470

0.489

0.285

0.312

0.465

#

J

0.191

0.105

0.224

0.290

0.278

0.432

0.054

#

White sea

A

0.505

0.971

0.359

0.279

0.371

0.387

0.612

0.058

#

J

0.386

0.199

0.155

0.352

0.459

0.530

0.372

0.118

0.009

#

A

J

A

J

A

J

A

J

A

J

Barents

Kamchatka

Kuril

Newfoundland

White sea


References

[1] Abdalrahem, A.; Noûs, C.; Duplessis, S.; Frey, P.; Stoeckel, S.; Halkett, F. Behind the shadow play: Shedding light on the population genetics of partially clonal organisms through clone age distributions, bioRxiv, 2025 | DOI

[2] Agapow, P.-M.; Burt, A. Indices of multilocus linkage disequilibrium, Molecular Ecology Notes, Volume 1 (2001) no. 1-2, pp. 101-102 | DOI

[3] Arnaud-Haond, S.; Duarte, C. M.; Alberto, F.; Serrão, E. A. Standardizing methods to address clonality in population studies, Molecular Ecology, Volume 16 (2007) no. 24, pp. 5115-5139 | DOI

[4] Arnaud-Haond, S.; Stoeckel, S.; Bailleul, D. New insights into the population genetics of partially clonal organisms: When seagrass data meet theoretical expectations, Molecular Ecology, Volume 29 (2020) no. 17, pp. 3248-3260 | DOI

[5] Avise, J. C. Evolutionary perspectives on clonal reproduction in vertebrate animals, Proceedings of the National Academy of Sciences, Volume 112 (2015) no. 29, pp. 8867-8873 | DOI

[6] Bailleul, D.; Stoeckel, S.; Arnaud‐Haond, S. RClone: a package to identify MultiLocus Clonal Lineages and handle clonal data sets in r, Methods in Ecology and Evolution, Volume 7 (2016) no. 8, pp. 966-970 | DOI

[7] Baker, H. G. Self-Compatibility and Establishment After “Long-Distance” Dispersal, Evolution, Volume 9 (1955) no. 3, pp. 347-349 | DOI

[8] Baker, H.; Stebbins, G. L. The genetics of colonizing species, New York, 1965

[9] Barrett, S. C. H. Foundations of invasion genetics: the Baker and Stebbins legacy, Molecular Ecology, Volume 24 (2015) no. 9, pp. 1927-1941 | DOI

[10] Becheler, R.; Masson, J.-P.; Arnaud-Haond, S.; Halkett, F.; Mariette, S.; Guillemin, M.-L.; Valero, M.; Destombe, C.; Stoeckel, S. ClonEstiMate, a Bayesian method for quantifying rates of clonality of populations genotyped at two-time steps, Molecular Ecology Resources, Volume 17 (2017) no. 6, p. e251-e267 | DOI

[11] Berković, B.; Cabaço, S.; Barrio, J. M.; Santos, R.; Serrão, E. A.; Alberto, F. Extending the life history of a clonal aquatic plant: Dispersal potential of sexual and asexual propagules of Zostera noltii, Aquatic Botany, Volume 113 (2014), pp. 123-129 | DOI

[12] Bocharova, E. S. Osobennosti razmnozheniya Aulactinia stella (Verrill, 1864) (Hexacorallia, Actiniidae) v Belom i Barentsevom moryakh (Reproduction characters of Au- lactinia stella (Verrill, 1864) (Hexacorallia, Actiniidae) in the White and the Barents Seas), Moscow State University, Moscow (2012)

[13] Bocharova, E. S.; Kozevich, I. A. Modes of reproduction in sea anemones (Cnidaria, Anthozoa), Biology Bulletin, Volume 38 (2011) no. 9, pp. 849-860 | DOI

[14] Bocharova, E. S.; Mugue, N. S. Sea anemones Aulactinia stella (Verrill, 1864) (Hexacorallia, Actiniidae) can brood offspring from other individuals of the same species, Doklady Biological Sciences, Volume 444 (2012) no. 1, pp. 173-175 | DOI

[15] Bocharova, E. Reproduction of Sea Anemones and Other Hexacorals, The Cnidaria, Past, Present and Future, Springer International Publishing, Cham, 2016, pp. 239-248 | DOI

[16] Bocharova, E. S. Reproductive biology and genetic diversity of the Sea Anemone Aulactinia stella (Verrill, 1864), Hydrobiologia, Volume 759 (2015) no. 1, pp. 27-38 | DOI

[17] Bocharova, E. S.; Sergeev, A. A.; Volkov, A. A. Identification of microsatellite loci in sea anemones Aulactinia stella and Cribrinopsis albopunctata (family Actiniidae), F1000Research, Volume 7 (2018), p. 232 | DOI

[18] Boylan, B. M. Increased maritime traffic in the Arctic: Implications for governance of Arctic sea routes, Marine Policy, Volume 131 (2021), p. 104566 | DOI

[19] Brandt, S.; Wassmann, P.; Piepenburg, D. Revisiting the footprints of climate change in Arctic marine food webs: An assessment of knowledge gained since 2010, Frontiers in Marine Science, Volume 10 (2023) | DOI

[20] Bridle, J.; Hoffmann, A. Understanding the biology of species' ranges: when and how does evolution change the rules of ecological engagement?, Philosophical Transactions of the Royal Society B: Biological Sciences, Volume 377 (2022) no. 1848, p. 20210027 | DOI

[21] Bringloe, T. T.; Verbruggen, H.; Saunders, G. W. Unique biodiversity in Arctic marine forests is shaped by diverse recolonization pathways and far northern glacial refugia, Proceedings of the National Academy of Sciences, Volume 117 (2020) no. 36, pp. 22590-22596 | DOI

[22] Burke, N. W.; Bonduriansky, R. The geography of sex: sexual conflict, environmental gradients and local loss of sex in facultatively parthenogenetic animals, Philosophical Transactions of the Royal Society B: Biological Sciences, Volume 373 (2018) no. 1757, p. 20170422 | DOI

[23] Burke, N. W.; Bonduriansky, R. The paradox of obligate sex: The roles of sexual conflict and mate scarcity in transitions to facultative and obligate asexuality, Journal of Evolutionary Biology, Volume 32 (2019) no. 11, pp. 1230-1241 | DOI

[24] Cadotte, M. W.; Murray, B. R.; Lovett-Doust, J. Ecological Patterns and Biological Invasions: Using Regional Species Inventories in Macroecology, Biological Invasions, Volume 8 (2006) no. 4, pp. 809-821 | DOI

[25] Cava-Solé, A.; Thorpe, J.; Todd, C. High genetic similarity between geographically distant populations in a sea anemone with low dispersal capabilities, Journal of the Marine Biological Association of the United Kingdom, Volume 74 (1994) no. 4, pp. 895-902 | DOI

[26] Chan, F. T.; Stanislawczyk, K.; Sneekes, A. C.; Dvoretsky, A.; Gollasch, S.; Minchin, D.; David, M.; Jelmert, A.; Albretsen, J.; Bailey, S. A. Climate change opens new frontiers for marine species in the Arctic: Current trends and future invasion risks, Global Change Biology, Volume 25 (2019) no. 1, pp. 25-38 | DOI

[27] Constantin, A.; Johnson, R. S. On the dynamics of the near-surface currents in the Arctic Ocean, Nonlinear Analysis: Real World Applications, Volume 73 (2023), p. 103894 | DOI

[28] Coolen, J. W. P.; Boon, A. R.; Crooijmans, R.; van Pelt, H.; Kleissen, F.; Gerla, D.; Beermann, J.; Birchenough, S. N. R.; Becking, L. E.; Luttikhuizen, P. C. Marine stepping-stones: Connectivity of Mytilus edulis populations between offshore energy installations, Molecular Ecology, Volume 29 (2020) no. 4, pp. 686-703 | DOI

[29] Coyer, J. A.; Hoarau, G.; Van Schaik, J.; Luijckx, P.; Olsen, J. L. Trans-Pacific and trans-Arctic pathways of the intertidal macroalga Fucus distichus L. reveal multiple glacial refugia and colonizations from the North Pacific to the North Atlantic, Journal of Biogeography, Volume 38 (2011) no. 4, pp. 756-771 | DOI

[30] Daly, E. Z.; Chabrerie, O.; Massol, F.; Facon, B.; Hess, M. C.; Tasiemski, A.; Grandjean, F.; Chauvat, M.; Viard, F.; Forey, E.; Folcher, L.; Buisson, E.; Boivin, T.; Baltora-Rosset, S.; Ulmer, R.; Gibert, P.; Thiébaut, G.; Pantel, J. H.; Heger, T.; Richardson, D. M.; Renault, D. A synthesis of biological invasion hypotheses associated with the introduction–naturalisation–invasion continuum, Oikos, Volume 2023 (2023) no. 5, p. e09645 | DOI

[31] De Meeûs, T.; Prugnolle, F.; Agnew, P. Asexual reproduction: Genetics and evolutionary aspects, Cellular and Molecular Life Sciences, Volume 64 (2007) no. 11, pp. 1355-1372 | DOI

[32] De Meeûs, T.; Lehmann, L.; Balloux, F. Molecular epidemiology of clonal diploids: A quick overview and a short DIY (do it yourself) notice, Infection, Genetics and Evolution, Volume 6 (2006) no. 2, pp. 163-170 | DOI

[33] De Visser, J. A. G. M.; Elena, S. F. The evolution of sex: empirical insights into the roles of epistasis and drift, Nature Reviews Genetics, Volume 8 (2007) no. 2, pp. 139-149 | DOI

[34] Dorken, M. E.; Eckert, C. G. Severely reduced sexual reproduction in northern populations of a clonal plant, Decodonverticillatus (Lythraceae), Journal of Ecology, Volume 89 (2001) no. 3, pp. 339-350 | DOI

[35] Drauch Schreier, A.; Gille, D.; Mahardja, B.; May, B. Neutral markers confirm the octoploid origin and reveal spontaneous autopolyploidy in white sturgeon, Acipenser transmontanus: Neutral markers and ploidy in white sturgeon, Journal of Applied Ichthyology, Volume 27 (2011), pp. 24-33 | DOI

[36] Dudgeon, S.; Kübler, J. E.; West, J. A.; Kamiya, M.; Krueger-Hadfield, S. A. Asexuality and the cryptic species problem, Perspectives in Phycology (2017), pp. 47-59 | DOI

[37] Duminil, J.; Fineschi, S.; Hampe, A.; Jordano, P.; Salvini, D.; Vendramin, G. G.; Petit, R. J. Can Population Genetic Structure Be Predicted from Life‐History Traits?, The American Naturalist, Volume 169 (2007) no. 5, pp. 662-672 | DOI

[38] E.U. Copernicus Climate Change Service Global Climate Highlights 2024 (2025)

[39] E.U. Copernicus Marine Service Global Ocean Ensemble Physics Reanalysis (2024)

[40] Edmands, S.; Potts, D. C. Population genetic structure in brooding sea anemones (Epiactis spp.) with contrasting reproductive modes, Marine Biology, Volume 127 (1997) no. 3, pp. 485-498 | DOI

[41] Ellegren, H.; Galtier, N. Determinants of genetic diversity, Nature Reviews Genetics, Volume 17 (2016) no. 7, pp. 422-433 | DOI

[42] Emms, M. A.; Saenz-Agudelo, P.; Giles, E. C.; Gatins, R.; Nanninga, G. B.; Scott, A.; Hobbs, J.-P. A.; Frisch, A. J.; Mills, S. C.; Beldade, R.; Berumen, M. L. Comparative phylogeography of three host sea anemones in the Indo-Pacific, Journal of Biogeography, Volume 47 (2020) no. 2, pp. 487-500 | DOI

[43] Eriksson, B. K.; Johansson, G. Effects of sedimentation on macroalgae: species-specific responses are related to reproductive traits, Oecologia, Volume 143 (2005) no. 3, pp. 438-448 | DOI

[44] Fautin Dunn, D. F.; Devaney, D. M.; Roth, B. Stylobates: A shell-forming sea anemone (Coelenterata, Anthozoa, Actiniidae), Pacific Science, Volume 34 (1980) no. 4, pp. 379-388

[45] Felsenstein, J. Inferring phylogenies, Sinauer Associates, Sunderland, Mass, 2004

[46] Fouqueau, L.; Roze, D. The evolution of sex along an environmental gradient, Evolution, Volume 75 (2021) no. 6, pp. 1334-1347 | DOI

[47] Franklin, S.; Alpert, P.; Salguero-Gómez, R.; Janovský, Z.; Herben, T.; Klimešová, J.; Douhovnikoff, V. Next-gen plant clonal ecology, Perspectives in Plant Ecology, Evolution and Systematics, Volume 49 (2021), p. 125601 | DOI

[48] Geller, J. B.; Walton, E. D. Breaking up and getting together: Evolution of symbiosis and cloning by fission in sea anemones (genus anthopleura), Evolution, Volume 55 (2001) no. 9, pp. 1781-1794 | DOI

[49] Glon, H.; Daly, M.; Carlton, J. T.; Flenniken, M. M.; Currimjee, Z. Mediators of invasions in the sea: life history strategies and dispersal vectors facilitating global sea anemone introductions, Biological Invasions, Volume 22 (2020) no. 11, pp. 3195-3222 | DOI

[50] Grebelnyi, S. Distribution of the sea anemones in the Arctic, The theoretical and practical significance of Coelenterata, Publishing House of the Zoological Institute of the USSR Academy of Sciences, Leningrad, 1980, pp. 20-33

[51] Halkett, F.; Simon, J.-C.; Balloux, F. Tackling the population genetics of clonal and partially clonal organisms, Trends in Ecology & Evolution, Volume 20 (2005) no. 4, pp. 194-201 | DOI

[52] He, Z.-Z.; Stotz, G. C.; Liu, X.; Liu, J.-J.; Wang, Y.-G.; Yang, J.; Li, L.-F.; Zhang, W.-J.; Nan, P.; Song, Z.-P. A global synthesis of the patterns of genetic diversity in endangered and invasive plants, Biological Conservation, Volume 291 (2024), p. 110473 | DOI

[53] Jacquard, A. Structure génétiques des populations, Masson & cie, Paris, 1970

[54] Jacquard, A. Panmixie et consanguinité. Quelques précisions de langage, Population (French Edition), Volume 23 (1968) no. 6, p. 1065 | DOI

[55] Johannesson, K.; André, C. Life on the margin: genetic isolation and diversity loss in a peripheral marine ecosystem, the Baltic Sea, Molecular Ecology, Volume 15 (2006) no. 8, pp. 2013-2029 | DOI

[56] Jombart, T.; Devillard, S.; Balloux, F. Discriminant analysis of principal components: a new method for the analysis of genetically structured populations, BMC Genetics, Volume 11 (2010) no. 1, p. 94 | DOI

[57] Kaliszewicz, A.; Panteleeva, N.; Olejniczak, I.; Boniecki, P.; Sawicki, M. Internal brooding affects the spatial structure of intertidal sea anemones in the Arctic-boreal region, Polar Biology, Volume 35 (2012) no. 12, pp. 1911-1919 | DOI

[58] Kendrick, G. A.; Waycott, M.; Carruthers, T. J. B.; Cambridge, M. L.; Hovey, R.; Krauss, S. L.; Lavery, P. S.; Les, D. H.; Lowe, R. J.; Vidal, O. M. i.; Ooi, J. L. S.; Orth, R. J.; Rivers, D. O.; Ruiz-Montoya, L.; Sinclair, E. A.; Statton, J.; van Dijk, J. K.; Verduin, J. J. The Central Role of Dispersal in the Maintenance and Persistence of Seagrass Populations, BioScience, Volume 62 (2012) no. 1, pp. 56-65 | DOI

[59] Klimeš, L. Clonal splitters and integrators in harsh environments of the Trans-Himalaya, Evolutionary Ecology, Volume 22 (2008) no. 3, pp. 351-367 | DOI

[60] Krueger-Hadfield, S. A.; Guillemin, M.-L.; Destombe, C.; Valero, M.; Stoeckel, S. Exploring the Genetic Consequences of Clonality in Haplodiplontic Taxa, Journal of Heredity, Volume 112 (2021) no. 1, pp. 92-107 | DOI

[61] Krueger-Hadfield, S. A.; Kübler, J. E.; Dudgeon, S. R. Reproductive effort of Mastocarpus papillatus (Rhodophyta) along the California coast1, Journal of Phycology, Volume 49 (2013) no. 2, pp. 271-281 | DOI

[62] Laakkonen, H. M.; Hardman, M.; Strelkov, P.; Väinölä, R. Cycles of trans-Arctic dispersal and vicariance, and diversification of the amphi-boreal marine fauna, Journal of Evolutionary Biology, Volume 34 (2021) no. 1, pp. 73-96 | DOI

[63] Lane, S. M.; Wilson, A. J.; Briffa, M. Analysis of direct and indirect genetic effects in fighting sea anemones, Behavioral Ecology, Volume 31 (2020) no. 2, pp. 540-547 | DOI

[64] Laughinghouse, H. D. I.; Müller, K. M.; Adey, W. H.; Lara, Y.; Young, R.; Johnson, G. Evolution of the Northern Rockweed, Fucus distichus, in a Regime of Glacial Cycling: Implications for Benthic Algal Phylogenetics, PLOS ONE, Volume 10 (2015) no. 12, p. e0143795 | DOI

[65] Liu, J.; Dong, M.; Miao, S. L.; Li, Z. Y.; Song, M. H.; Wang, R. Q. Invasive alien plants in China: role of clonality and geographical origin, Biological Invasions, Volume 8 (2006) no. 7, pp. 1461-1470 | DOI

[66] Locarnini, R. A.; Mishonov, A. V.; Baranova, O. K.; Reagan, J. R.; Boyer, T. P.; Seidov, D.; Wang, Z.; Garcia, H. E.; Bouchard, C.; Cross, S. L.; Paver, C. R.; Dukhovskoy, D. World Ocean Atlas 2023, Volume 1: Temperature, 2024 (https://repository.library.noaa.gov) | DOI

[67] Loseva, L. M. Polovoye sostoyanie Bunodactis stella (Sex composition of Bunodactis stella), Biologiya razvi- tiya morskikh organizmov (Developmental Biology of Marine Organisms), Akademiya Nauk SSSR, Apatity, 1974, pp. 133-142

[68] López‐Villavicencio, M.; Debets, A. J. M.; Slakhorst, M.; Giraud, T.; Schoustra, S. E. Deleterious effects of recombination and possible nonrecombinatorial advantages of sex in a fungal model, Journal of Evolutionary Biology, Volume 26 (2013) no. 9, pp. 1968-1978 | DOI

[69] Manuel, R. L. British Anthozoa: Keys and notes for the identification of the species, Synopses of the British fauna. N.S, Acad. Pr, London u.a, 1981 no. 18

[70] McMahon, K. M.; Evans, R. D.; van Dijk, K.-j.; Hernawan, U.; Kendrick, G. A.; Lavery, P. S.; Lowe, R.; Puotinen, M.; Waycott, M. Disturbance Is an Important Driver of Clonal Richness in Tropical Seagrasses, Frontiers in Plant Science, Volume 8 (2017) | DOI

[71] Melia, N.; Haines, K.; Hawkins, E. Sea ice decline and 21st century trans-Arctic shipping routes, Geophysical Research Letters, Volume 43 (2016) no. 18, pp. 9720-9728 | DOI

[72] Moran, E. V.; Alexander, J. M. Evolutionary responses to global change: lessons from invasive species, Ecology Letters, Volume 17 (2014) no. 5, pp. 637-649 | DOI

[73] Nabholz, B. Sex and Clonality Across the Arctic: Lessons from the sea anemone Aulactinia stella, Peer Community in Evolutionary Biology, Volume 1 (2025) | DOI

[74] Navascués, M.; Stoeckel, S.; Mariette, S. Genetic diversity and fitness in small populations of partially asexual, self-incompatible plants, Heredity, Volume 104 (2010) no. 5, pp. 482-492 | DOI

[75] Orive, M. E.; Krueger-Hadfield, S. A. Sex and Asex: A Clonal Lexicon, Journal of Heredity, Volume 112 (2021) no. 1, pp. 1-8 | DOI

[76] Ottaway, J. R. Predators of sea anemones, Tuatara, Volume 22 (1977), pp. 213-220

[77] Protection of the Arctic Marine Environment (PAME) - Working Group of the Arctic Council Arctic Ship Traffic Data (ASTD), 2024 (https://pame.is/ourwork/arctic-shipping/current-shipping-projects/astd/)

[78] Pannell, J. R.; Auld, J. R.; Brandvain, Y.; Burd, M.; Busch, J. W.; Cheptou, P.-O.; Conner, J. K.; Goldberg, E. E.; Grant, A.-G.; Grossenbacher, D. L.; Hovick, S. M.; Igic, B.; Kalisz, S.; Petanidou, T.; Randle, A. M.; de Casas, R. R.; Pauw, A.; Vamosi, J. C.; Winn, A. A. The scope of Baker's law, New Phytologist, Volume 208 (2015) no. 3, pp. 656-667 | DOI

[79] Peck, J. R.; Yearsley, J. M.; Waxman, D. Explaining the geographic distributions of sexual and asexual populations, Nature, Volume 391 (1998) no. 6670, pp. 889-892 | DOI

[80] Peniston, J. H.; Barfield, M.; Holt, R. D.; Orive, M. E. Environmental fluctuations dampen the effects of clonal reproduction on evolutionary rescue, Journal of Evolutionary Biology, Volume 34 (2021) no. 4, pp. 710-722 | DOI

[81] Pereyra, R. T.; Bergström, L.; Kautsky, L.; Johannesson, K. Rapid speciation in a newly opened postglacial marine environment, the Baltic Sea, BMC Evolutionary Biology, Volume 9 (2009) no. 1, p. 70 | DOI

[82] Pereyra, R. T.; Rafajlović, M.; De Wit, P.; Pinder, M.; Kinnby, A.; Töpel, M.; Johannesson, K. Clones on the run: The genomics of a recently expanded partially clonal species, Molecular Ecology, Volume 32 (2023) no. 15, pp. 4209-4223 | DOI

[83] Pierre, J.-S.; Stoeckel, S.; Wajnberg, E. The advantage of sex: Reinserting fluctuating selection in the pluralist approach, PLOS ONE, Volume 17 (2022) no. 8, p. e0272134 | DOI

[84] Rafajlović, M.; Kleinhans, D.; Gulliksson, C.; Fries, J.; Johansson, D.; Ardehed, A.; Sundqvist, L.; Pereyra, R. T.; Mehlig, B.; Jonsson, P. R.; Johannesson, K. Neutral processes forming large clones during colonization of new areas, Journal of Evolutionary Biology, Volume 30 (2017) no. 8, pp. 1544-1560 | DOI

[85] Reichel, K.; Masson, J.-P.; Malrieu, F.; Arnaud-Haond, S.; Stoeckel, S. Rare sex or out of reach equilibrium? The dynamics of F IS in partially clonal organisms, BMC Genetics, Volume 17 (2016) no. 1, p. 76 | DOI

[86] Riemann-Zürneck, K. How Sessile are Sea Anemones? A Review of Free-living Forms in the Actiniaria Cnidaria: Anthozoa, Marine Ecology, Volume 19 (1998) no. 4, pp. 247-261 | DOI

[87] Rodríguez, E.; Fautin, D.; Daly, M. World List of Actiniaria. Accessed at https://www.marinespecies.org/actiniaria, 2025 | DOI

[88] Rodzen, J. A.; May, B. Inheritance of microsatellite loci in the white sturgeon (Acipenser transmontanus), Genome, Volume 45 (2002) no. 6, pp. 1064-1076 | DOI

[89] Roiloa, S. R. Clonal traits and plant invasiveness: The case of Carpobrotus N.E.Br. (Aizoaceae), Perspectives in Plant Ecology, Evolution and Systematics, Volume 40 (2019), p. 125479 | DOI

[90] Ronfort, J.; Jenczewski, E.; Bataillon, T.; Rousset, F. Analysis of Population Structure in Autotetraploid Species, Genetics, Volume 150 (1998) no. 2, pp. 921-930 | DOI

[91] Rudels, B.; Carmack, E. Arctic Ocean Water Mass Structure and Circulation, Oceanography, Volume 35 (2022) no. 3-4, pp. 52-65 | DOI

[92] Rudin, F. S.; Briffa, M. Is boldness a resource-holding potential trait? Fighting prowess and changes in startle response in the sea anemone, Actinia equina, Proceedings of the Royal Society B: Biological Sciences, Volume 279 (2012) no. 1735, pp. 1904-1910 | DOI

[93] Russo, C. A. M.; Solé-Cava, A. M.; Thorpe, J. P. Population structure and genetic variation in two tropical sea anemones (Cnidaria, Actinidae) with different reproductive strategies, Marine Biology, Volume 119 (1994) no. 2, pp. 267-276 | DOI

[94] Ryan, W. H.; Aida, J.; Krueger-Hadfield, S. A. The Contribution of Clonality to Population Genetic Structure in the Sea Anemone, Diadumene lineata, Journal of Heredity, Volume 112 (2021) no. 1, pp. 122-139 | DOI

[95] Ryan, W. H.; Miller, T. E. Reproductive strategy changes across latitude in a clonal sea anemone, Marine Ecology Progress Series, Volume 611 (2019), pp. 129-141 | DOI

[96] Sanamyan, N. P.; Sanamyan, K. Deep-water Actiniaria from East Pacific hydrothermal vents and cold seeps, Invertebrate Zoology, Volume 4 (2007) no. 1, pp. 83-102 | DOI

[97] Sanamyan, N. P.; Sanamyan, K. E. The genera Urticina and Cribrinopsis (Anthozoa: Actiniaria) from the north‐western Pacific, Journal of Natural History, Volume 40 (2006) no. 7-8, pp. 359-393 | DOI

[98] Sanamyan, N. P.; Sanamyan, K. E. Some Actiniaria from the Commander Islands (Cnidaria: Anthozoa), Zoosystematica Rossica, Volume 1 (1998) no. 7, pp. 1-8

[99] Sanamyan, N. P.; Sanamyan, K. E.; Mercier, A.; Hamel, J.-F.; Bocharova, E. S. Morphological and molecular assessment of large sea anemones (Actiniaria: Actiniidae) in Newfoundland (eastern Canada), Polar Biology, Volume 43 (2020) no. 5, pp. 495-509 | DOI

[100] Sanamyan, N. P.; Sanamyan, K. E.; McDaniel, N.; Martynov, A. V.; Korshunova, T. A.; Bocharova, E. S. A revision of sea anemones of the genus Cribrinopsis Carlgren, 1921(Actiniaria: Actiniidae) from British Columbia with the description of a new species, Marine Biodiversity, Volume 49 (2019) no. 4, pp. 1951-1969 | DOI

[101] Sax, D. F.; Stachowicz, J. J.; Brown, J. H.; Bruno, J. F.; Dawson, M. N.; Gaines, S. D.; Grosberg, R. K.; Hastings, A.; Holt, R. D.; Mayfield, M. M.; O’Connor, M. I.; Rice, W. R. Ecological and evolutionary insights from species invasions, Trends in Ecology & Evolution, Volume 22 (2007) no. 9, pp. 465-471 | DOI

[102] Schön, I.; Martens, K.; Dijk, P. Lost Sex: The Evolutionary Biology of Parthenogenesis, Springer Netherlands, Dordrecht, 2009 | DOI

[103] Sherman, C. D. H.; Ayre, D. J. Fine-scale adaptation in a clonal sea anemone, Evolution, Volume 62 (2008) no. 6, pp. 1373-1380 | DOI

[104] Sherman, C. D. H.; Hunt, A.; Ayre, D. J. Is life history a barrier to dispersal? Contrasting patterns of genetic differentiation along an oceanographically complex coast, Biological Journal of the Linnean Society, Volume 95 (2008) no. 1, pp. 106-116 | DOI

[105] Sherman, C. D. H.; Peucker, A. J.; Ayre, D. J. Do reproductive tactics vary with habitat heterogeneity in the intertidal sea anemone Actinia tenebrosa?, Journal of Experimental Marine Biology and Ecology, Volume 340 (2007) no. 2, pp. 259-267 | DOI

[106] Slatkin, M.; Takahata, N. The average frequency of private alleles in a partially isolated population, Theoretical Population Biology, Volume 28 (1985) no. 3, pp. 314-331 | DOI

[107] Stoeckel, S.; Bocharova, E. Genetic data of tetraploid sea anemone Aulactinia stella populations from North Pacific to Atlantic across the Arctic Ocean, Zenodo, 2025 | DOI

[108] Stoeckel, S.; Arnaud-Haond, S.; Krueger-Hadfield, S. A. The Combined Effect of Haplodiplonty and Partial Clonality on Genotypic and Genetic Diversity in a Finite Mutating Population, Journal of Heredity, Volume 112 (2021) no. 1, pp. 78-91 | DOI

[109] Stoeckel, S.; Becheler, R.; Bocharova, E.; Barloy, D. GenAPoPop 1.0: A user-friendly software to analyse genetic diversity and structure from partially clonal and selfed autopolyploid organisms, Molecular Ecology Resources, Volume 24 (2024) no. 1, p. e13886 | DOI

[110] Stoeckel, S.; Masson, J.-P. The Exact Distributions of FIS under Partial Asexuality in Small Finite Populations with Mutation, PLOS ONE, Volume 9 (2014) no. 1, p. e85228 | DOI

[111] Stoeckel, S.; Porro, B.; Arnaud‐Haond, S. The discernible and hidden effects of clonality on the genotypic and genetic states of populations: Improving our estimation of clonal rates, Molecular Ecology Resources, Volume 21 (2021) no. 4, pp. 1068-1084 | DOI

[112] Tibayrenc, M.; Avise, J. C.; Ayala, F. J. In the light of evolution IX: Clonal reproduction: Alternatives to sex, Proceedings of the National Academy of Sciences, Volume 112 (2015) no. 29, pp. 8824-8826 | DOI

[113] Timmermans, M.-L.; Marshall, J. Understanding Arctic Ocean Circulation: A Review of Ocean Dynamics in a Changing Climate, Journal of Geophysical Research: Oceans, Volume 125 (2020) no. 4, p. e2018JC014378 | DOI

[114] Van Oppen, M. J. H.; Peplow, L. M.; Kininmonth, S.; Berkelmans, R. Historical and contemporary factors shape the population genetic structure of the broadcast spawning coral, Acropora millepora, on the Great Barrier Reef, Molecular Ecology, Volume 20 (2011) no. 23, pp. 4899-4914 | DOI

[115] Veale, A.; Lavery, S. The population genetic structure of the waratah anemone (Actinia tenebrosa) around New Zealand, New Zealand Journal of Marine and Freshwater Research, Volume 46 (2012) no. 4, pp. 523-536 | DOI

[116] Vermeij, G. J.; Roopnarine, P. D. The Coming Arctic Invasion, Science, Volume 321 (2008) no. 5890, pp. 780-781 | DOI

[117] Verrill, A. E. List of the polyps and corals sent by the Museum of Comparative Zoology to other institutions in exchange, with annotations, Bulletin of the Museum of Comparative Zoology, Volume 1 (1864), pp. 29-60

[118] Virtanen, P.; Gommers, R.; Oliphant, T. E.; Haberland, M.; Reddy, T.; Cournapeau, D.; Burovski, E.; Peterson, P.; Weckesser, W.; Bright, J.; Van Der Walt, S. J.; Brett, M.; Wilson, J.; Millman, K. J.; Mayorov, N.; Nelson, A. R. J.; Jones, E.; Kern, R.; Larson, E.; Carey, C. J.; Polat, İ.; Feng, Y.; Moore, E. W.; VanderPlas, J.; Laxalde, D.; Perktold, J.; Cimrman, R.; Henriksen, I.; Quintero, E. A.; Harris, C. R.; Archibald, A. M.; Ribeiro, A. H.; Pedregosa, F.; Van Mulbregt, P.; SciPy 1.0 Contributors; Vijaykumar, A.; Bardelli, A. P.; Rothberg, A.; Hilboll, A.; Kloeckner, A.; Scopatz, A.; Lee, A.; Rokem, A.; Woods, C. N.; Fulton, C.; Masson, C.; Häggström, C.; Fitzgerald, C.; Nicholson, D. A.; Hagen, D. R.; Pasechnik, D. V.; Olivetti, E.; Martin, E.; Wieser, E.; Silva, F.; Lenders, F.; Wilhelm, F.; Young, G.; Price, G. A.; Ingold, G.-L.; Allen, G. E.; Lee, G. R.; Audren, H.; Probst, I.; Dietrich, J. P.; Silterra, J.; Webber, J. T.; Slavič, J.; Nothman, J.; Buchner, J.; Kulick, J.; Schönberger, J. L.; De Miranda Cardoso, J. V.; Reimer, J.; Harrington, J.; Rodríguez, J. L. C.; Nunez-Iglesias, J.; Kuczynski, J.; Tritz, K.; Thoma, M.; Newville, M.; Kümmerer, M.; Bolingbroke, M.; Tartre, M.; Pak, M.; Smith, N. J.; Nowaczyk, N.; Shebanov, N.; Pavlyk, O.; Brodtkorb, P. A.; Lee, P.; McGibbon, R. T.; Feldbauer, R.; Lewis, S.; Tygier, S.; Sievert, S.; Vigna, S.; Peterson, S.; More, S.; Pudlik, T.; Oshima, T.; Pingel, T. J.; Robitaille, T. P.; Spura, T.; Jones, T. R.; Cera, T.; Leslie, T.; Zito, T.; Krauss, T.; Upadhyay, U.; Halchenko, Y. O.; Vázquez-Baeza, Y. SciPy 1.0: fundamental algorithms for scientific computing in Python, Nature Methods, Volume 17 (2020) no. 3, pp. 261-272 | DOI

[119] Waits, L. P.; Luikart, G.; Taberlet, P. Estimating the probability of identity among genotypes in natural populations: cautions and guidelines, Molecular Ecology, Volume 10 (2001) no. 1, pp. 249-256 | DOI

[120] Wang, Y.-J.; Chen, D.; Yan, R.; Yu, F.-H.; van Kleunen, M. Invasive alien clonal plants are competitively superior over co-occurring native clonal plants, Perspectives in Plant Ecology, Evolution and Systematics, Volume 40 (2019), p. 125484 | DOI

[121] Wang, Z.; Xie, L.; Prather, C. M.; Guo, H.; Han, G.; Ma, C. What drives the shift between sexual and clonal reproduction of Caragana stenophylla along a climatic aridity gradient?, BMC Plant Biology, Volume 18 (2018) no. 1, p. 91 | DOI

[122] Williams, T. M.; Krueger-Hadfield, S. A.; Hill-Spanik, K. M.; Kosaki, R. K.; Stoeckel, S.; Spalding, H. L. The reproductive system of the cryptogenic alga Chondria tumulosa (Florideophyceae) at Manawai, Papahānaumokuākea Marine National Monument, Phycologia, Volume 63 (2024) no. 1, pp. 36-44 | DOI

[123] Yu, F.-H.; Roiloa, S. R.; Alpert, P. Editorial: Global Change, Clonal Growth, and Biological Invasions by Plants, Frontiers in Plant Science, Volume 7 (2016) | DOI

[124] Zhang, R.; Jia, G.; Diao, X. geneHapR: an R package for gene haplotypic statistics and visualization, BMC Bioinformatics, Volume 24 (2023) no. 1, p. 199 | DOI