Section: Forest & Wood Sciences
Topic: Applied biological sciences, Environmental sciences, Plant biology

Comparative responses of legume vs. non-legume tropical trees to biochar additions

Corresponding author(s): Thomas, Sean C. (sc.thomas@utoronto.ca)

10.24072/pcjournal.668 - Peer Community Journal, Volume 6 (2026), article no. e5

Get full text PDF Peer reviewed and recommended by PCI

Abstract

Nitrogen-fixing plants in the legume family (Fabaceae) may show particularly large positive responses to biochar additions due to their capacity to potentially compensate for reduced N in biochar-amended soils. Prior studies also suggest that biochar may have specific developmental effects on legumes, including increased root nodulation and altered morphology. We examined the growth and morphometric responses of legume and non-legume tropical trees to biochar additions in a common garden pot trial experiment. Four legume species (Acacia auriculiformis, A. mangium, Delonix regia, and Pterocarpus santalinus) and four non-legumes (Eucalyptus alba, Melia azedarach, Swietenia macrophylla, and Syzygium cumini) were compared in terms of sapling responses to additions of a wood-feedstock biochar applied at 10 and 20 t/ha. Overall, strong positive effects of biochar additions on sapling performance were observed, with an average increase of 30% in total biomass and a notable increase in height relative to diameter growth. Species showed pronounced differences in responses, with strong interactive effects of species and biochar treatments on growth metrics. Legume species showed an average increase somewhat greater than non-legumes; however, responses were variable among species, with the two Acacia species showing the largest responses, resulting in a non-significant pattern. A literature-based meta-analysis of tropical and subtropical trees likewise suggests greater biochar responses in legumes, but the analysis also falls short of statistical significance. In addition, experimental results indicate large interactive effects of species and biochar on soil pH and other soil properties. Large growth responses of certain taxa of legumes (and other taxa) to biochar, and pronounced species-specific effects on soil properties, may reflect evolved responses to fire disturbance that can be leveraged in the context of forest restoration and enhanced carbon sequestration in degraded tropical landscapes.

Metadata
Published online:
DOI: 10.24072/pcjournal.668
Type: Research article
Keywords: Acacia, allocation, allometry, biochar, charcoal, Fabaceae, morphometrics, root nodulation

Thomas, Sean C.  1 ; Halim, M. A.  1 ; Ali, Syed Tuhin  2

1 Institute of Forestry and Conservation, John H Daniels Faculty of Architecture Landscape and Design, University of Toronto, 33 Willcocks St. Toronto, ON, M5S 3B3 Canada
2 Forest and Agroforest Systems, Technical University of Munich, Hans-Carl-von-Carlowitz-Platz 2, 85354, Freising, Germany
License: CC-BY 4.0
Copyrights: The authors retain unrestricted copyrights and publishing rights
Thomas, S. C.; Halim, M. A.; Ali, S. T. Comparative responses of legume vs. non-legume tropical trees to biochar additions. Peer Community Journal, Volume 6 (2026), article  no. e5. https://doi.org/10.24072/pcjournal.668
@article{10_24072_pcjournal_668,
     author = {Thomas, Sean C. and Halim, M. A. and Ali, Syed Tuhin},
     title = {Comparative responses of legume vs. non-legume tropical trees to biochar additions
},
     journal = {Peer Community Journal},
     eid = {e5},
     year = {2026},
     publisher = {Peer Community In},
     volume = {6},
     doi = {10.24072/pcjournal.668},
     language = {en},
     url = {https://peercommunityjournal.org/articles/10.24072/pcjournal.668/}
}
TY  - JOUR
AU  - Thomas, Sean C.
AU  - Halim, M. A.
AU  - Ali, Syed Tuhin
TI  - Comparative responses of legume vs. non-legume tropical trees to biochar additions

JO  - Peer Community Journal
PY  - 2026
VL  - 6
PB  - Peer Community In
UR  - https://peercommunityjournal.org/articles/10.24072/pcjournal.668/
DO  - 10.24072/pcjournal.668
LA  - en
ID  - 10_24072_pcjournal_668
ER  - 
%0 Journal Article
%A Thomas, Sean C.
%A Halim, M. A.
%A Ali, Syed Tuhin
%T Comparative responses of legume vs. non-legume tropical trees to biochar additions

%J Peer Community Journal
%] e5
%D 2026
%V 6
%I Peer Community In
%U https://peercommunityjournal.org/articles/10.24072/pcjournal.668/
%R 10.24072/pcjournal.668
%G en
%F 10_24072_pcjournal_668

PCI peer reviews and recommendation, and links to data, scripts, code and supplementary information: 10.24072/pci.forestwoodsci.100186

Conflict of interest of the recommender and peer reviewers:
The recommender in charge of the evaluation of the article and the reviewers declared that they have no conflict of interest (as defined in the code of conduct of PCI) with the authors or with the content of the article.

Full text

The full text below may contain a few conversion errors compared to the version of record of the published article.

Introduction

Biochar, generally defined as pyrolyzed waste organic material designated for use as a soil amendment (Lehmann & Joseph, 2015), has recently received enormous research attention as a means to enhance carbon sequestration and improve the productivity of managed ecosystems, including forests. An important generalization to emerge on biochar use in managed ecosystems is that plant species vary greatly in their responses to biochar soil amendments. Such differences are evident in essentially all integrative analyses that have considered species-level effects, including meta-analyses of both agricultural crops (Jeffery et al., 2011; Liu et al., 2013; Ye et al., 2020), and trees (Thomas & Gale, 2015; Juno & Ibáñez, 2021). By pooling data across many studies, meta-analyses potentially exaggerate apparent species differences in responses, since these differences will generally be confounded with differences in biochar feedstock and production parameters and dosages, as well as other experimental conditions. Nevertheless, published studies that have considered variability in species responses to the same biochar under the same experimental conditions have also documented high variability in species responses, including studies of early-successional herbaceous species (Gale et al., 2017) and trees (Sovu et al., 2012; Pluchon et al., 2014). Likewise, studies of biochar amendment effects on mixed-species vegetation have generally observed changes in species composition consistent with highly variable species-specific effects (van de Voorde et al., 2014; Bieser & Thomas, 2019; Williams & Thomas, 2023).

N-fixing plants, in particular legumes (family Fabaceae), might be expected to show particularly large increases in performance in response to biochar. During biochar pyrolysis most feedstock N is usually lost, and the remaining N is covalently bound and unavailable (Clough et al., 2013). In addition, biochar tends to strongly bind ammonium in the soil solution (Wang et al., 2015). Thus, biochar-amended soils initially show reduced N availability, though this may change through time as biochar alters N biogeochemical processes and enhances N retention in the system (Nguyen et al., 2017). N fixation is expected to alleviate reductions in the relative supply of N by providing N-fixing species access to the atmospheric N2 pool. In addition, the preponderance of evidence indicates that legumes generally respond to biochar by increasing root nodulation and N fixation (Farhangi-Abriz et al., 2022). This phenotypically plastic response is expected to further enhance the performance of N-fixing legume species in biochar-amended soils. Some studies have also noted large effects of biochar on other developmental patterns in legumes, such as a >100% increase in stem allocation and reduction in root allocation observed in Leucaena leucocephala in response to biochar additions (Thomas et al., 2019). However, pronounced changes in growth form have also been noted in non-legume trees; for example, Sifton et al. (2022) noted increases in the height:diameter ratio in Acer saccharinum in response to biochar.

Prior studies in the context of agriculture and ecological restoration suggest disproportionate responses of legumes to biochar. Large average growth responses in legumes were noted in the earliest biochar meta-analyses. Jeffery et al., (2011) reported that soybean was one of only two crops that, considered individually, showed a positive effect of biochar on crop productivity. Liu et al., (2013), with an increased sample size of studies, found that among major crops, legumes showed an average 30% increase in productivity, compared to 7-11% for major cereal crops; however, at least one recent meta-analysis did not observe greater responses in legume crops (Farhangi-Abriz et al., 2021). Field studies of biochar effects on plant communities have likewise commonly noted disproportionate increases in cover or abundance of legume species (van de Voorde et al., 2014; Bieser & Thomas, 2019; Williams & Thomas, 2023). Studies of species mixtures have also found increases in non-legume species growth in response to the combination of N-fixing legumes plus biochar (Liu et al., 2017; Thomas et al., 2019; Sifton et al., 2022), attributed to inputs of soil N by legumes.

Responses of tropical trees to biochar are of particular importance and interest in several respects. Tropical forests play a major role in the global carbon cycle (Pan et al., 2011); however, most regions of the tropics have been subject to widespread deforestation and forest degradation such that carbon gain in secondary forests is critical to future tropical forest carbon sinks (Heinrich et al., 2023). Forest productivity, and thus the C sink, is often limited by soil nutrient status in degraded tropical landscapes (Powers & Marín-Spiotta, 2017). Biochar can thus potentially aid in forest restoration on degraded tropical soils, provided that trees show strong positive growth responses. Early studies suggested that tropical trees generally show large growth enhancements in response to biochar additions (as reviewed by Thomas and Gale 2015). However, results from recent studies, including field trials, are mixed, with studies providing evidence for both neutral (Gonzalez Sarango et al., 2021) and positive (Ríos Guayasamín et al., 2024) effects on overall growth responses, depending in part on soil conditions. As with other ecological groups, species-specific differences in responses to biochar appear to be the rule in tropical trees (e.g., Sovu et al., 2012; Ghosh et al., 2015; Lefebvre et al., 2019; Ríos Guayasamín et al., 2024). N-fixing legumes are an important component in tropical forests, particularly so in disturbed forests and in seasonal tropical and subtropical forest types (Gei et al., 2018; Tamme et al., 2021); however, studies to date have not addressed whether there is a systematic difference in biochar responses between legumes and non-legumes among tropical trees. Better information on species-specific responses of tropical trees to biochar, as well as potential systematic differences among phylogenetic and ecological groups, is of general importance in the context of tropical forest restoration and enhanced C sequestration.

In the present study, we assessed biochar responses of tropical trees on a representative degraded soil in the Sylhet region of Bangladesh, comparing responses of four legume and four non-legume tree species. We address the following questions: (1) Does biochar enhance overall sapling performance? (2) Do legume species show greater increases in biomass and other measures of plant performance than non-legumes? (3) Are there biochar effects on allometric or morphometric patterns and do legumes differ from non-legume species in this regard? (4) Are there positive effects of biochar on root nodule production in the legume species? (5) How do results compare with those of a meta-analysis of available data on tropical tree responses?

Material and methods

Study site and tree species

The experiment was conducted at the Department of Forestry and Environmental Science, Shahjalal University of Science and Technology, Bangladesh, from May 14 to September 16, 2015. Over this period, monthly mean temperatures ranged from 25°C to 32°C, and average monthly rainfall was 295 mm. A 15-m x 3-m raised bed oriented north-south was established and divided into four blocks to enhance drainage and simplify management. We utilized a completely randomized block design, testing eight species (four leguminous and four non-leguminous tree species: Table 1), and three biochar treatments (Control, 10 t/ha, 20 t/ha). This resulted in 96 plants in total, with each block containing a mix of treatments and species (4 replicates x 3 treatments x 8 species).

Table 1 - Tree species used in this experiment.

Scientific name

Family

Shade tolerance

Acacia auriculiformis A.Cunn. ex Benth.

Fabaceae (Mimosoideae)

intolerant

Acacia mangium Willd.

Fabaceae (Mimosoideae)

intolerant

Delonix regia (Boj. ex Hook.) Raf.

Fabaceae (Caesalpinioideae)

intolerant

Pterocarpus santalinus L.f.

Fabaceae (Faboideae)

intolerant

Eucalyptus alba Reinw. ex Blume

Myrtaceae

intolerant

Syzygium cumini (L.) Skeels.

Myrtaceae

intermediate

Swietenia macrophylla King.

Meliaceae

intermediate

Melia azedarach L.

Meliaceae

intolerant

Seeds of the eight species were sourced from the Bangladesh Forest Department. A hot water treatment was applied to break seed dormancy, and germination occurred in cow-manure-enriched soil within plastic bags. After 45 days, seedlings with similar vigour were transplanted into 3-L pots with a 230 cm² surface area. Biochar-treated pots were filled sequentially with local soil and a 10 cm top layer of biochar-soil mixture (23 g for 10 t/ha and 46 g for 20 t/ha, on a dry mass basis). Incorporation in the upper soil was implemented to simulate surface applications likely in managed forests or restoration applications. No additional fertilization was provided. The biochar dosages used were chosen to be in a range near to somewhat below the optimum of 20-30 t/ha found in dose-response studies (Gale & Thomas, 2019). Biochar was air-dried before mixing with the topsoil layer in each pot. The control group received no biochar, whereas the treatment groups received corresponding biochar quantities. Although it was the monsoon season, during periods of low rainfall an equal amount of deionized/autoclaved water was added to approximate field capacity, a total of two times, to each pot.

Soil

A locally sourced disturbed Dystric Fluvisol sandy loam soil was used in the experiment. Soil samples were collected from each pot following harvest from the uppermost 10 cm, sampled, homogenized, and sieved to <2 mm prior to analysis. The analyses were conducted at the Soil Resource Development Institute (SRDI) in Sylhet, Bangladesh. Soil organic matter (%) was determined by loss-on-ignition using a 6-h combustion time at 600°C in a muffle furnace. Soil pH was determined electrochemically using a 1:2 mixture of soil:deionized water using a pH meter (Kelway MA-78, Kel Instruments, Wycko, NJ, USA). Total N (%) was determined by a semi-micro Kjeldahl method, available P by a Bray-Kurtz I extraction followed by colorimetric analysis, and available K by ammonium acetate extraction followed by flame photometry. Details of soil methods follow Karim et al. (2020). The average (±SE) soil properties were as follows: pH 6.00 ± 0.03, nitrogen content 0.1 ± 0.0%, organic matter content 1.72 ± 0.01%, available phosphorus 59 ± 3 ppm, and potassium 8.8 ± 0.5 ppm, based on three replicates and determined using standard methods.

Biochar

Biochar was produced using a Top-Lit Up-Draft (TLUD) gasifier (Mia et al., 2015) with Samanea saman (Jacq.) Merr. wood chips used as the feedstock. Pyrolysis occurred over 15 hours, with a peak temperature of ~550°C. The resulting biochar had a pH of 8.52 ± 0.02, electrical conductivity (EC) 555 ± 23 dS/m, carbon content 72.07 ± 0.07%, and nitrogen content 1.76 ± 0.014%, averaged from 3 replicate samples (methods follow Karim et al., 2020). Biochar was manually broken into pieces with dimensions < 1 cm (mostly 1-5 mm) prior to soil applications.

Plant measurements

Biweekly measurements of stem height, root collar diameter, leaf count, and leaf length were taken. At harvest, the plants were partitioned into different compartments (main stem, branches, leaves, and roots). Roots were washed with deionized water, nodules were counted (in legume species), and taproot lengths measured. All plant parts were then dried separately at 60°C for at least 48 hours until a constant weight was achieved and weighed to the nearest 0.001 g.

Statistical analysis

Data were analyzed in R (R Core Team, 2024). Initially linear mixed-effects models were implemented using the “lmer” function of the “lme4” package (Bates et al., 2015) and incorporating biochar treatment and species as the main fixed effects, the biochar x species interaction, and random effects of blocks. The random block term was not significant in analyses, so simple two-way ANOVAs with biochar treatment and species as the main effects and the biochar x species interaction term were used. This was followed by one-way ANOVA and Tukey HSD post-hoc tests conducted to compare treatment effects within each species. Agreement with parametric statistical assumptions was assessed using diagnostic plots in conjunction with the Shapiro-Wilk test for normality of residuals and the Levene’s test for homogeneity of variance. Total biomass and that of components (root, leaf, and stem) biomass were right-skewed, so these data were log-transformed prior to analysis. In other cases deviations from assumptions were minor and data transformations were not used. Marginal effects were calculated using the “emmeans” function (Lenth et al., 2021).

To test for treatment effects on height-diameter relationships, we used linear mixed effects models to account for repeated measurements on individual saplings, and assumed linear allometric patterns of the form H = aDb, which are generally found for early growth patterns in tropical trees (Thomas, 1996). Log-transformed height was modeled as a function of log-transformed root collar diameter, species, treatment, and the species x treatment interaction (all fixed effects), and a random individual sapling term. A similar analysis was conducted to determine the relationships between branch number and stem diameter.

Meta-analysis

A meta-analysis of published literature on responses of tropical and sub-tropical trees to biochar was conducted to better assess the generality of findings. Prior meta-analyses of tree responses to biochar (Thomas and Gale, 2015; Juno and Ibáñez, 2021) were used as a starting point. Literature was searched using both ISI Web of Knowledge and Google Scholar, with a cutoff date of June 2024. ISI Web of Knowledge used explicit Boolean operators, while Google Scholar searches used proprietary search algorithms with combinations of 4-5 search terms, and a cutoff of 100 articles scanned per combination. In the case of searches related to post-treatment effects, search terms included descriptions for the set of terms in potential use to describe biochar (including “biochar”, “black carbon”, “char”, “charcoal”, “hydrochar”), in conjunction with (“tropic*” or ”sub-tropic*” plus “tree” or “seedling” or “sapling”). Titles and abstracts were scanned for articles that would plausibly present original data on plant growth responses, and tables and figures of those articles were searched for usable data. Articles presenting usable data were themselves read for citations to related articles with potentially usable data. The following additional criteria were used to screen studies: (1) studies examining seed germination or the earliest phases of seedling growth were excluded; (2) species locations or species ranges were located between 25°N and S latitudes. Data from extra-tropical greenhouse studies on tropical and sub-tropical species were also included. The systematic data search located 384 publications, and the overall process (including citation searches) finally yielded a total of 50 publications presenting data useable for meta-analysis.

The response ratio (\(R = \ln(\frac{X_{t}}{X_{c}}))\) was used as an effect size statistic, where R is the response ratio statistic, Xt is the treatment mean and Xc is the control mean of the responses; pooled R values were inversely weighted by sampling variance. Many studies included cases where multiple biochar treatments (typically different dosages or biochar types) were compared to a single control. Multi-level random effects models were used to account for non-independence within and among studies using the “rma.mv” function in the “metafor” package in R (Viechtbauer, 2010), with a within-study random effect specifying groups of treatments sharing a control, and a between-study random effect accounting for random effects of individual studies (Nakagawa et al., 2023). Models were fitted with restricted maximum likelihood. Data were extracted from tables (or original data) where possible; graphical data were digitized using WebPlotDigitizer (Rohatgi, 2019). Total biomass responses were used as the growth metric where available. Alternative growth measures used included aboveground biomass and the product of tree height and the square of stem diameter, both of which generally scale linearly with total biomass (Kohyama & Hotta, 1990; Deb et al., 2012). In cases where means were presented without error values, standard deviations were imputed from the observed average coefficient of variation observed across studies (Lajeunesse et al., 2013): \(SD = mean\ \times \ {CV}_{average}.\ \)To express response ratios as a percent change, the metric was back-transformed: i.e., percent change = 100 × (exp(R) − 1). Analyses used the metafor package (Viechtbauer, 2010). A similar internal meta-analysis was used to test for differences in legume vs. non-legume growth responses (and biochar dosages) based on data from the present study.

Results

Soil responses

Biochar additions resulted in variable effects on soil pH, with both notable increases and decreases that depended on the tree species (Figure 1a). Both the species (F7,72 = 13.3; p < 0.001) and species x treatment interaction (F14,72 = 6.2; p < 0.001) terms were statistically significant (Table 2). Species showing significant increases in soil pH with biochar additions included S. macrophylla and M. azedarach; those showing reduced pH in response to biochar additions included A. mangium, D. regia, and S. cumini (Figure 1a). Although these treatment effects were pronounced, in all cases pH values ranged from ~6.0 – 6.9 and were thus generally in a near-optimal range.

Table 2 - ANOVA results for soil parameters measured at the end of four-month experimental period. P-values < 0.05 are listed in bold.

ANOVA term

d.f.

SS

MS

F

p-value

pH

         

Biochar

2

0.0718

0.0359

1.392

0.2553

Species

7

2.3986

0.3427

13.288

<0.0001

Biochar x species

14

2.2396

0.1500

6.204

<0.0001

Residuals

72

1.8567

0.0258

   

Organic matter

         

Biochar

2

0.0683

0.0341

0.222

0.8012

Species

7

23.7921

3.3989

22.140

<0.0001

Biochar x species

14

5.8741

0.4196

2.733

0.0028

Residuals

72

11.0530

0.1535

   

Total N

         

Biochar

2

0.0001

0.0001

0.130

0.8784

Species

7

0.0771

0.0110

20.478

<0.0001

Biochar x species

14

0.0197

0.0014

2.617

0.0028

Residuals

72

0.0387

0.0005

   

Available P

         

Biochar

2

129.37

64.684

7.042

0.0016

Species

7

327.91

46.844

5.100

<0.0001

Biochar x species

14

820.46

58.605

6.380

<0.0001

Residuals

72

661.39

9.186

   

Available K

         

Biochar

2

0.0575

0.0288

15.108

<0.0001

Species

7

0.1194

0.0171

8.963

<0.0001

Biochar x species

14

0.0714

0.0051

2.678

0.0033

Residuals

72

0.1370

0.0019

   

Treatment effects on soil OM likewise varied among species, with the ANOVA having significant species (F7,72 = 22.1; p < 0.001) and species x treatment interaction (F14,72 = 2.7; p = 0.003) terms (Table 2). Although most species showed a trend toward increased soil OM with biochar additions, E. alba showed a significant decrease (Figure 1b).

Figure 1 - Responses of (a) soil pH, and (b) soil organic matter to biochar addition treatments by species, based on measurements conducted at the end of four-month experimental period. Means are plotted ± 1 SE; dashed lines indicate pre-treatment values. In both cases two-way ANOVA indicates a significant species x biochar treatment interaction (p < 0.001). Separation of means by post-hoc Tukey HSD comparisons (p < 0.05) within each species are indicated by letters.

Biochar effects on macronutrient availability showed pronounced differences among tree species, with a significant species x treatment interaction term for N, P, and K (Table 2). Legume species mostly did not enhance the N status of soils above pre-treatment levels, except for A. auriculiformis in biochar-amended soils (Figure 2a). There were also significant species differences in biochar effects on P and K availability. Biochar additions reduced P availability in P. santalinus, M. azedarach, and S. cumini, but increased P in S. macrophylla (Figure 2b). Biochar additions also reduced K availability in D. regia and M. azedarach (Figure 2c). These species-specific soil nutrient patterns did not have any obvious correspondence with species-specific growth responses to biochar (Figure 3).

Figure 2 - Responses of (a) total soil nitrogen, (b) available phosphorus, and (c) available K, to biochar addition treatments by species, based on measurements at the end of four-month experimental period. Means are plotted ± 1 SE; dashed lines indicate pre-treatment values. (Pre-treatment K values are not shown, as these were considerably higher than post-treatment values). In all three cases two-way ANOVA indicates a significant species x biochar treatment interactions (p < 0.01). Separation of means by post-hoc Tukey HSD comparisons (p < 0.05) within each species are indicated by letters.

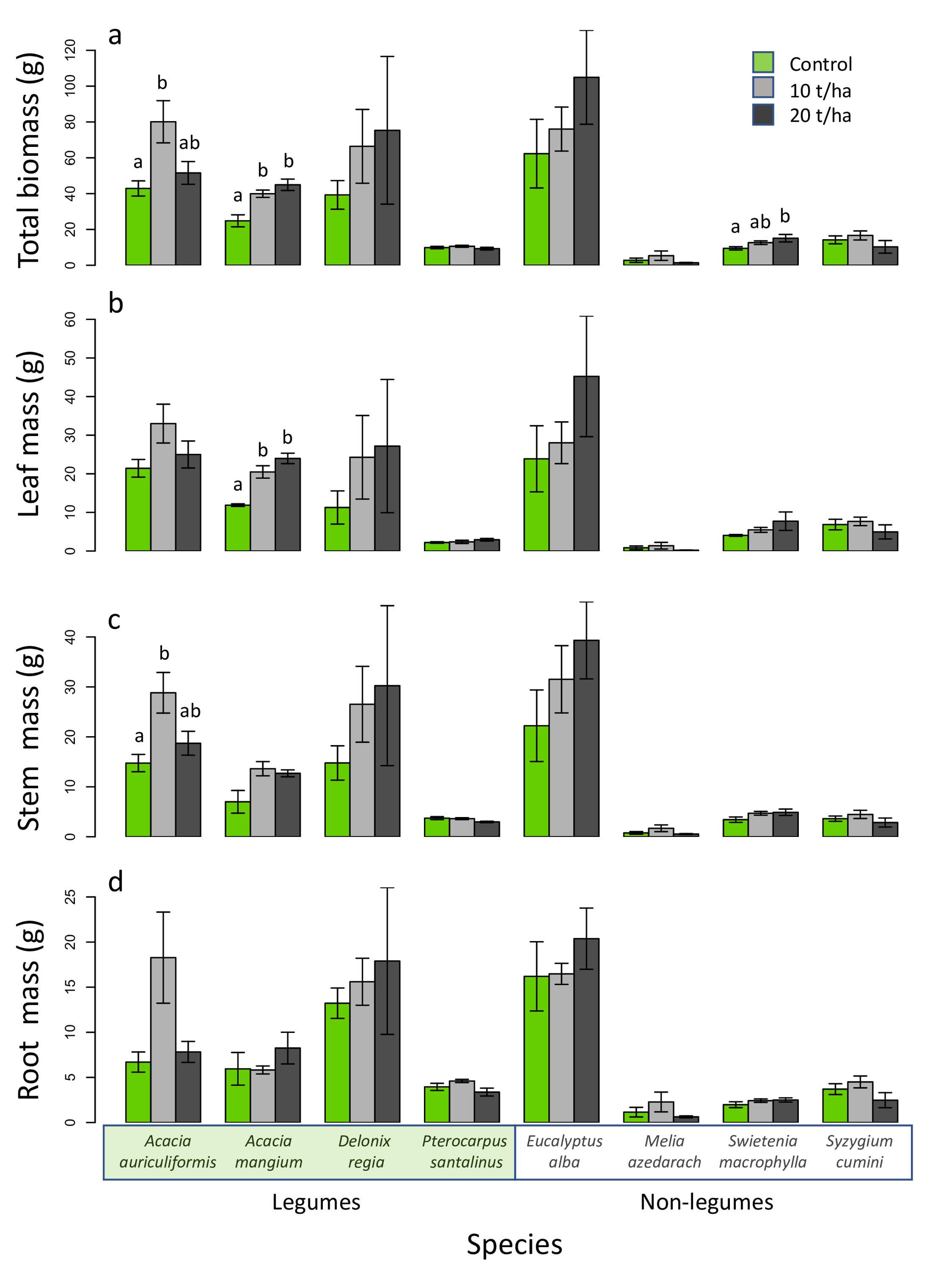
Sapling growth responses

Biochar additions resulted in strongly enhanced tree growth overall. ANOVA results indicated a significant mean effect term for biochar treatment effects on total biomass (F2,72 = 5.1; p = 0.009), stem mass (F2,72 = 8.0; p < 0.001), total aboveground biomass (F2,72 = 4.9; p = 0.010), and root mass (F2,72 = 4.5; p = 0.014), but not leaf mass (F2,72 = 1.8; p = 0.174) (Figure 3; Table 3). Species differences were also significant, but there were no significant treatment x species interactions (Table 3). Tree height and diameter at harvest also showed commensurate positive responses to biochar treatments (Table 3). The overall mean marginal responses were +30% for total biomass (+46% for 10 t/ha; +16% for 20 t/ha), +43% for stem mass (+62% for 10 t/ha; +26% for 20 t/ha), +17% for root mass (+36% for 10 t/ha; +1% for 20 t/ha), and +24% for leaf mass (+47% for 10 t/ha; +5% for 20 t/ha). No mortality was observed.

Species with notably large responses to biochar additions included both Acacia species (with a >80% increase in total biomass for at least one dosage) and Swietenia macrophylla (with a 60% increase in the 20 t/ha treatment). Total biomass means by species were larger than controls in all cases at 10 t/ha, and in 6 of 8 cases at 20 t/ha (Figure 3a). Responses for leaf, stem, and root mass largely mirrored those of total biomass (Figure 3).

Figure 3 - Responses of sapling biomass and biomass components, including (a) total biomass, (b) leaf mass, (c) stem mass, and (d) root mass, to biochar treatments, based on measurements at the end of four-month experimental period. Means are plotted ± 1 SE. Two-way ANOVAs (Table 3) indicate significant biochar treatment effects for total, stem, and root mass (p < 0.05). Separation of means by post-hoc Tukey HSD comparisons (p < 0.05) within each species are indicated by letters.

Table 3 - ANOVA results for sapling growth parameters measured at the end of four-month experimental period. P-values < 0.05 are listed in bold.

ANOVA term

d.f.

SS

MS

F

p-value

Total dry mass

         

Biochar

2

0.4393

0.2196

5.068

0.0087

Species

7

21.9754

3.1394

72.442

<0.0001

Biochar x species

14

0.7628

0.0545

1.257

0.2555

Residuals

72

3.1202

0.0433

   

Aboveground dry mass

         

Biochar

2

0.4922

0.2461

4.867

0.0104

Species

7

26.1780

3.7397

73.959

<0.0001

Biochar x species

14

0.8799

0.0628

1.243

0.2649

Residuals

72

3.6407

0.0506

   

Stem dry mass

         

Biochar

2

0.7051

0.3526

7.992

0.0007

Species

7

23.0158

3.288

74.530

<0.0001

Biochar x species

14

0.8018

0.0573

1.298

0.2301

Residuals

72

3.1764

0.0441

   

Leaf dry mass

         

Biochar

2

0.542

0.2709

1.791

0.1741

Species

7

37.698

5.3855

35.612

<0.0001

Biochar x species

14

2.830

0.2021

1.337

0.2081

Residuals

72

10.888

0.1512

   

Root dry mass

         

Biochar

2

0.3771

0.1886

4.547

0.0138

Species

7

15.0414

2.1488

51.815

<0.0001

Biochar x species

14

0.7553

0.0540

1.301

0.2285

Residuals

72

2.9858

0.0415

   

Stem diameter

         

Biochar

2

34.84

17.418

5.086

0.0086

Species

7

1084.33

154.904

45.228

<0.0001

Biochar x species

14

40.41

2.886

0.843

0.6217

Residuals

72

246.60

3.425

   

Height

         

Biochar

2

4442

2221

8.684

0.0004

Species

7

104979

14997

58.644

<0.0001

Biochar x species

14

4447

318

1.242

0.2655

Residuals

72

18413

256

   

Root length

         

Biochar

2

0.0550

0.0275

0.941

0.3949

Species

7

1.3057

0.1865

6.382

<0.0001

Biochar x species

14

0.2066

0.0148

0.505

0.9229

Residuals

72

2.1045

0.0292

   

 

Morphometric and allocation responses

No significant effects of biochar treatments on biomass fractions (i.e., root fraction, leaf fraction, or stem fraction as a proportion of total biomass) were detected on the basis of two-way ANOVAs (Table 4). Root mass per length also did not show a significant treatment effect (Table 4). In all cases there were pronounced differences among species (p < 0.001; Table 4).

Significant biochar treatments effects were found on height-diameter allometric patterns: the linear mixed effects model predicting log(height) had significant terms for log(diameter) (F1,790 = 2490.5; p < 0.001), species (F2,76 = 110.4; p < 0.001), and biochar treatment (F7, 76 = 10.6; p < 0.001), but no significant species x treatment interaction (F14, 76 = 1.0; p = 0.498); the random effects term for individual was also significant (p < 0.001). In general, biochar-treated saplings showed increased height values at a given root collar diameter, a pattern most apparent in D. regia (p < 0.01) and S. macrophylla (p < 0.05) (Figure 4), with similar trends approaching significance in other species. Based on the fitted model parameters, saplings showed an average increase of 11.1% in height at a given diameter in the 10 t/ha treatment, and a 14.4% increase in the 20 t/ha treatment.

A similar analysis examined potential effects on branch production (i.e., based on log branch number + 1 vs. root collar diameter), but no significant effects were observed (data not shown).

Figure 4 - Allometric relationships between sapling height and diameter and their response to biochar treatments. Biochar effects on relationships based on a species-pooled linear mixed model analysis are significant (p < 0.001). Linear regressions for log-transformed variates are shown.

Table 4 - ANOVA results for sapling allocation parameters and root nodulation (in legume species) measured at the end of four-month experimental period. P-values < 0.05 are listed in bold.

ANOVA term

d.f.

SS

MS

F

p-value

Leaf mass fraction

         

Biochar

2

0.0062

0.0031

0.370

0.6923

Species

7

1.1612

0.1659

19.692

<0.0001

Biochar x species

14

0.0718

0.0051

0.609

0.8493

Residuals

72

0.6065

0.0084

   

Stem mass fraction

         

Biochar

2

0.0119

0.0059

1.494

0.2313

Species

7

0.1579

0.0226

5.688

<0.0001

Biochar x species

14

0.0334

0.0024

0.602

0.8546

Residuals

72

0.2856

0.0040

   

Root mass fraction

         

Biochar

2

0.0183

0.0091

2.431

0.0951

Species

7

0.8218

0.1174

31.269

<0.0001

Biochar x species

14

0.0562

0.0040

1.069

0.3995

Residuals

72

0.2703

0.0038

   

Number of root nodules

         

Biochar

2

13215

6607

12.390

<0.0001

Species

3

265021

88340

165.651

<0.0001

Biochar x species

6

6590

1098

2.060

0.0827

Residuals

36

19198

533

   

Nodules per g root mass

         

Biochar

2

294.4

147.2

1.377

0.2652

Species

3

6648.1

2216.0

20.737

<0.0001

Biochar x species

6

277.1

46.2

0.432

0.8525

Residuals

36

3847.1

106.9

   

 

Root nodulation responses in legumes

Biochar additions resulted in increased root nodule production in the four legume species (Table 4; Figure 5a): the main treatment effect was significant (F2,36 = 12.4; p < 0.001), but not the species x treatment interaction (F6,36 = 2.1; p = 0.0827). Responses were most pronounced in the two Acacia species, which also showed the greatest nodule production (Figure 5). Biochar treatments did not significantly affect the nodulation rate expressed as nodules per g of root tissue (F2,36 = 1.4; p = 0.2652), though the 20 t/ha treatment numerically showed the highest value for three of the four legume species (Figure 5b). By both metrics nodule production was much greater in the two Acacia species than in the other taxa (Figure 5).

Figure 5 - Responses of root nodule production to biochar addtions, expressed as (a) total number of nodules per sapling, (b) nodule number per g root mass. The species-pooled ANOVA indicates a significant biochar main effect for number of nodules. Separation of means by post-hoc Tukey HSD comparisons (p < 0.05) within each species are indicated by letters.

Meta-analyses

Considering only results from the present study, the overall value of the log response ratio R for total biomass is 0.272 ±0.076 (±SE), corresponding to an average 31.3% increase (Z = 3.6; p < 0.001). Values for the two treatment dosages are 0.315 ±0.092 for 10 t/ha (Z = 3.6; p < 0.001) and 0.205 ±0.138 for 20 t/ha (Z = 1.5; p = 0.137). The pooled value for R for total biomass considering legume species is 0.317±0.110 (+37.3%: Z = 2.9; p = 0.004) vs. 0.263 ±0.083 (+30.1%: Z = 3.2; p = 0.002) for non-legumes. Including biochar dosages and legumes vs. non-legumes in the meta-analysis model as moderating factors did not indicate a significant effect of either dosage (Z = 0.724; p = 0.469) or taxonomic status as a legume (Z = 0.640; p = 0.522).

In the broader meta-analysis including prior published studies on tropical and sub-tropical trees, we located a total of 51 publications (Appendix Figure A2; Table A2) presenting useable data that totalled 262 comparisons between control and biochar-amended soils, with 66 comparisons available for legumes (of 23 species in 19 genera) and 173 for non-legume hardwoods (of 37 species in 34 genera including palms), and 21 comparisons for conifers (of 4 species in 3 genera). Averages of reported values for biochar parameters were a peak pyrolysis temperature of 478°C (±78°C SD), pH 8.2 (±1.1), and total C 62% (±17%); these values did not differ significantly among groups (using linear mixed effects models with study included as a random effect). Groups other than conifers show a significant mean increase in biomass in biochar-amended treatments compared to controls: legumes +50.4% (Z = 3.816; p < 0.001), non-legume angiosperms +43.0% (Z = 3.759; p < 0.001), conifers +12.3% (Z = 1.694; p = 0.090), as does the pooled data (+39.3%: Z = 4.600; p < 0.001). Although the mean biomass response is numerically lower in conifers and higher in legumes than the other groups, the inclusion of taxonomic category as a moderator falls short of statistical significance (Q = 1.057; p = 0.589). In all analyses, there was significant residual heterogeneity (Q-tests: p < 0.001). Alternative analyses excluding conifers, excluding data from the present study, excluding data from additions of traditional mound charcoal all yielded similar results (Appendix Table A1).

Figure 6 - Meta-analysis of biomass responses of tropical and subtropical trees to biochar amendments, based on 38 publications presenting data for 56 tree species. Mean response ratios are plotted ±95% confidence limits, with back-transformed mean responses given with statistical comparisons to zero response: *** p < 0.001.

Discussion

Patterns in growth responses

Overall, biochar amendments had substantial positive effects on sapling growth in the present study, with a mean biomass increase of 30%. This is generally consistent with meta-analysis results suggesting relatively large growth responses to biochar in tropical trees (Figure 6; Thomas & Gale, 2015) as is also the case in tropical agricultural systems (Jeffery et al., 2017), though the responses observed are less than those found in some prior studies (e.g., Sovu et al., 2012; Kayama et al., 2022; Sujeeun & Thomas, 2022). As predicted, the average biomass response observed for legumes was greater than in other species (+37% vs. +30%); however, this difference was not statistically significant. The literature-based meta-analysis gives a much broader representation of species and greater statistical power. This analysis is also consistent with higher biomass responses in legumes (mean +50%) compared to non-legume hardwood species (mean +43%) (Figure 5), both of which are considerably higher than the mean response for tropical and sub-tropical conifers (mean +12%). However, these statistical comparisons also fall well short of significance due to high variability in responses and relatively low sample sizes in most studies (including the present one).

While the results are suggestive of a generally greater growth response to biochar additions in legumes, there is high variation in responses within groups that obscures any general patterns. Whence this high variability? In some cases very large growth responses reported in the literature are related to exceptional soil conditions. For example, the largest growth responses in the meta-analysis reported here are for native species in the Indian Ocean island of Mauritius in the context of soil impacted by allelopathic strawberry guava (Psidium cattleyanum); in this case Tambourissa peltata (Monimiaceae) and Pittosporum senacia (Pittosporaceae) both showed >40-fold increases in allometric biomass estimates in response to biochar additions (Sujeeun & Thomas, 2022). These exceptional responses are consistent with observations that biochars sorb a wide range of allelochemicals and may also enhance their breakdown, such that biochar additions can completely “rescue” plants suppressed by allelochemicals (Sujeeun & Thomas, 2023). Such a mechanism is obviously not directly related to plant mineral nutrition, and so is not expected to show any systematic relationship with N-fixation. Similarly, large positive effects of biochar on plant performance on contaminated soils can be related to biochar sorption of anthropogenic organic soil contaminants (Ni et al., 2020), potentially toxic elements (Rizwan et al., 2016), and sodium salts (Thomas et al., 2013).

Regarding the meta-analysis, its sample size and scope were strongly limited by data reporting practices in the peer-reviewed literature. Many relevant studies did not present means, sample sizes, and/or standard deviations (or data necessary to calculate these) for tree aboveground or total biomass, even in graphical form. This includes numerous examples of recent publications that present “box and whisker” plots that present only medians and inter-quartile plus total data ranges from which it is not possible to calculate means or standard deviations. We were able to compensate for this to some extent by using d2h as a proxy for biomass (Kohyama & Hotta, 1990; Deb et al., 2012) and by using imputed standard deviations (Lajeunesse et al., 2013) for ~36% of the comparisons. As is a common refrain in the meta-analysis literature, we implore authors to directly publish data or present data in a form that can be used in meta-analyses in future publications. Increased sample sizes within treatments would also aid in detecting patterns: it is notable that the modal sample size found across studies was only N = 3 and median N = 4. There is also a preponderance of pot trials, with only a few multi-year field studies published to date (Table A2).

Mechanism and variable responses within groups

In cases where the mechanism for biochar growth stimulation is mainly related to plant mineral nutrition, the basis for predicting greater growth responses in legumes is their capacity for N-fixation. However, it is important to note that root symbiotic N-fixation exists in tropical woody species outside of the Fabaceae, with rhizobial associations in the angiosperm families Cannabaceae and Zygophyllaceae, cyanobacterial associations in Cycads, and actinorhizal associations in at least some species of the Casuarinaceae, Coriariacea, Elaeagnaceae, Myricaceae, Rhamnaceae, and Rosaceae (Dryadeae tribe) (Tedersoo et al., 2018). We are aware, however, of only one relevant study of a known tropical woody N-fixer that is not a legume: namely, a study of a Casuarina species (Mwadalu et al., 2020); in this case, biochar additions alone did not have a positive effect on tree growth. Also, while we confirmed nodulation in the species considered here (Figure 5), some legumes do not form root nodules (Tedersoo et al., 2018), and the level of root nodulation may not directly correlate with N-fixation (e.g., Quilliam et al., 2013). It is notable that Acacia mangium and A. auriculiformis, which here showed the largest growth responses to biochar, are both species associated with frequent fire that exhibit putative fire adaptations such as extended seed dormancy and heat-triggered seed germination (Boland et al., 1990; Hegde et al., 2013).

It is generally expected that biochar additions will increase soil pH through a liming effect (Gezahegn et al., 2019) with the potential to increase bioavailability of most nutrients on acidic soils while reducing that of aluminum (Hale et al., 2020, Ríos Guayasamín et al., 2024). Here we found that the species effect on soil pH was more pronounced than that of biochar, and also that biochar effects on soil pH varied in both direction and magnitude depending on tree species. There were similar pronounced species x biochar treatment effects on other soil variables examined, including organic matter, and measures of soil N, P, and K (Figure 1-2; Table 2). Prior studies that have examined responses of multiple species to biochar (e.g., Sovu et al., 2012; Pluchon et al., 2014; Gale et al., 2017; Lefebvre et al., 2019) have not generally considered possible species effects on soil parameters, nor how such effects might be modified by biochar. Mechanisms by which trees can alter soil pH include production of litter or root exudates high in organic acids, stimulation of mineral weathering and oxidation, and ion uptake, in particular of base cations (Alban, 1982; Finzi et al., 1998). In the present short-term experiment, production of root exudates and other forms of rhizodeposition are the most likely mechanism for effects (e.g., Uselman et al. 2000). Swietenia macrophylla in combination with biochar stands out as having the largest positive effects on soil pH and available P (Figure 1). Such interactive effects of biochar and species on soils are an important area for further work in the context of tropical forest restoration and agroforestry. N-fixation may potentially enhance soil N status, and there is some evidence that biochar enhances this effect and can thus enhance overall soil productivity (e.g., Thomas et al., 2019). In the present study, the only species that plausibly showed this pattern was Acacia auriculiformis (Figure 2a).

Effects on tree growth form

In addition to the stimulatory effects of biochar on tree growth, we also found systematic effects on tree growth form and allometry, with an average 11-14% increase in height extension growth at a given stem diameter (Figure 4). There was no evidence, however, that this response varied among species or was systematically different between legumes and non-legumes. A similar pattern of biochar additions resulting in increased stem elongation relative to diameter has been noted in a few prior studies (Chen et al., 2021; Sifton et al., 2023); including one nursery study of the tropical tree Bertholletia excelsa (Damaceno et al., 2019). Freshly produced biochar can release the plant hormone ethylene (Spokas et al., 2010), but ethylene exposure would generally be expected to result in changes in plant morphology similar to thigmomorphogenesis: i.e., reduced stem elongation and increased leaf thickness. Such a response has been noted in a greenhouse study of Leuceana leucocephala (Thomas et al., 2019); however, increased stem elongation relative to diameter seems to be the prevailing response to biochar. Increases in height:diameter ratios of plants in response to mineral nutrient fertilization have been widely observed, primarily in relation to N (Thornley, 1999), but also other nutrients such as P (e.g., Brondani et al., 2008). The physiological mechanism by which increased nutrient levels elicit increased allocation to stem elongation is not well resolved, but the response is thought to be functionally related to enhancing the competitive status of plants under high-nutrient conditions (Thornley, 1999). Allometric shifts induced by biochar should receive more research attention and should optimally be incorporated in estimates of biomass and carbon sequestration.

Conclusion

While this study did not conclusively show that N-fixing leguminous tropical trees respond more strongly to biochar than other species, it reinforces evidence that biochar amendments enhance plant growth and physiological performance in managed ecosystems (Joseph et al., 2021), ranging from conventional agriculture (Schmidt et al., 2021), to forestry (Thomas & Gale, 2015) to urban green infrastructure (Liao et al., 2023). In spite of this vast body of work, one still finds statements in the recent literature to the effect that “biochar seems to have little to no effect on crop yields” (Desjardins et al. 2024, p.12). Of course, it is possible to cite examples of individual studies that find no effect, but the same can be said of virtually any soil amendment or agricultural or silvicultural intervention. The importance of broader survey studies and meta-analyses is highlighted by the considerable variability in responses of tropical trees to biochar, and the multiple mechanisms involved in governing these responses.

It would ultimately be desirable to develop an empirically based decision support tool for use in applied forestry, agroforestry, and forest restoration applications, along the lines of tools being implemented in the context of temperate-zone agriculture (e.g., Latawiec et al., 2017; Phillips et al., 2020). Given the disproportionate importance of tropical forests in global carbon processes and climate feedbacks (Pan et al., 2011; Mitchard, 2018), and the potential for biochar to contribute to global net carbon sinks (Lehmann et al., 2021), development of guidelines for biochar use in tropical forest restoration and plantation forestry should be a global research priority. Well-documented empirical support for the relative benefits of biochar for specific tree species under specific soil conditions is essential in this regard. The present study makes clear that the available empirical data is far from sufficient for tropical trees, in spite of the proliferation of publications in this area. In particular, there is a need for field studies of tree growth responses to biochar on the prevailing low-nutrient status soils of the humid tropics: i.e., Ultisols and Oxisols. There is also an urgent need for additional long-term trials on large trees, as our meta-analysis revealed only four studies of at least 3 years in duration (Table A2). The diversity of tropical trees represents a challenge, but priority should be given to trees of global silvicultural importance (Evans & Turnbull, 2004), such as Acacia auriculiformis, A. mangium, and Swietenia macrophylla, which stand out in the present study as having exceptionally high growth responses to biochar. More broadly, only ~1000 tree species make up ~50% of the stems in tropical forests globally (Cooper et al., 2024). Quantifying biochar responses of a majority of these key species in the global carbon cycle is a realistic objective.

Appendices

Figure A1 -Photo of the experimental study.

Figure A2 - PRISMA diagram for meta-analysis.

Table A1 - Alternative meta-analysis tests for variation in biochar effects among species groups of tropical and subtropical trees (conifers, legumes, and other hardwoods).

Data subset

Q

N

p-value

All data

1.0574

262

0.5894

Excluding conifers

0.0135

239

0.9076

Excluding current study

1.2380

246

0.5385

Excluding traditional mound biochar

2.0056

204

0.3669

Excluding studies with imputed errors

2.6796

167

0.2619

 

Table A2 - Data sources for literature-based meta-analysis. “Pot” studies include both greenhouse and open-air studies conducted with plants grown in containers.

Reference

Location

Study type

No. species

Duration (mo.)

Chidumayo 1994

Zambia

pot

2

7

Siregar 2007

Indonesia

pot

2

6

Sovu et al. 2012

Laos

field

8

48

Budi & Setyaningsih 2013

Indonesia

pot

1

4

Fagbenro et al. 2013

Nigeria

pot

1

3

Fagbenro et al. 2015

Nigeria

pot

1

3

Ghosh et al. 2015

Singapore

field

2

6

Lima et al. 2015

Brazil

pot

1

4

Reverchon et al. 2015

Australia

pot

1

6

de Farias et al. 2016

Brazil

field

2

49

Kayama et al. 2016

Thailand

pot

1

12

Marjenah et al. 2016

Indonesia

pot

2

3

Rezende et al. 2016

Brazil

pot

2

3

Lin et al. 2017

China

field

1

12

Radin et al. 2018

Malaysia

pot

1

7

Bahrun et al. 2018

Indonesia

pot

1

3

Tarin et al. 2018

China

pot

1

3

Ge et al. 2019

China

pot

2

7

Kayama et al. 2019

Ethiopia

field

2

11

Syafiqah Nabilah et al. 2019

Malaysia

field

1

12

Thomas et al. 2019

Canada

pot

1

4

Abukari & Nasare 2020

Ghana

pot

1

2

Bu et al. 2020

China

pot

1

8

Gogoi et al. 2020

India

field

1

1

Mwadalu et al. 2020

Kenya

field

1

6

Tarin et al. 2020

China

pot

1

12

Afolabi et al. 2021

Nigeria

pot

1

6

Chen et al. 2021

China

pot

1

5

Gondim et al. 2021

Brazil

field

1

24

Gonzalez Sarango et al. 2021

Ecuador

field

2

51

Kayama et al. 2021

Ethiopia

field

2

14

Mwadalu et al. 2021

Kenya

field

1

12

Pan et al. 2021

China

pot

1

16

Rusli et al. 2021

Malaysia

pot

1

6

Wan Mohamed et al. 2021

Malaysia

pot

1

9

Wijaya et al. 2021

Indonesia

field

1

8

Yousaf et al. 2021a

Pakistan

pot

3

6

Yousaf et al. 2021b

Pakistan

pot

1

6

Yousaf et al. 2022

Pakistan

pot

3

5

Hwong et al. 2022

Malaysia

pot

1

15

Kayama et al. 2022

Thailand

field

1

16

Rafly et al. 2022

Indonesia

field

1

8

Sujeeun & Thomas 2022

Mauritius

field

4

30

Wijaya et al. 2022

Indonesia

field

1

6

Wang et al. 2023

China

pot

1

14

Yaebiyo et al. 2023

Ethiopia

field

1

24

Zou et al. 2023

China

pot

1

11

Ríos Guayasamín et al. 2024

Ecuador

field

2

36

Jin et al. 2024

China

pot

1

6

Tugiman et al. 2024

Malaysia

pot

1

8

This study

Bangladesh

pot

8

4

Acknowledgements

We acknowledge the logistical support from the Department of Forestry and Environmental Science, Shahjalal University of Science and Technology (SUST), Bangladesh. We are also grateful to Dr. Narayan Saha for his assistance and insights during experiment setup and data collection. We thank Rupon Kumar Nath, Muhammad Ramzan Ali, Sanjoy Bhattacharjee, Halimur Rashid Mannaf, and Tasnima Mukit Riha for help in data collection; nursery assistant Sanatan for support throughout the project; and Rouf Miah of the Bangladesh Forest Department, Sheikhghat, Sylhet, for providing seeds and for guidance with seed germination. Preprint version 2 of this article has been peer-reviewed and recommended by Peer Community In Forest and Wood Sciences (https://doi.org/10.1101/2025.02.19.639164; Augusto, 2025).

Funding

The study was funded in part by grants from the Natural Sciences and Engineering Research Council of Canada.

Conflict of interest disclosure

The authors declare that they comply with the PCI rule of having no financial conflicts of interest in relation to the content of the article.

Data, scripts, code, and supplementary information availability

Orginal data and code used in statistical analyses are available online in (Thomas, 2025; https://doi.org/10.5683/SP3/VSRR43).


References

[1] Abukari, A.; Nasare, N. I. Effect of Different Rates of Rice Husk Biochar on the Initial Growth of Moringa oleifera under Greenhouse Conditions in the Savannah Ecological Zone of Ghana, Turkish Journal of Agriculture - Food Science and Technology, Volume 8 (2020) no. 1, pp. 13-17 | DOI

[2] Afolabi, J.; Abiodun, F.; Ojo, P.; Ogunwande, O. Influence of watering regimes and bamboo biochar on the growth and biomass partitioning of Neolamarckia cadamba (Roxb.) Miq. seedlings on an Alfisol, Ethiopian Journal of Environmental Studies & Management, Volume 14 (2021), pp. 515-529 (https://ejesm.org/doi/v14i4.10)

[3] Alban, D. H. Effects of Nutrient Accumulation by Aspen, Spruce, and Pine on Soil Properties, Soil Science Society of America Journal, Volume 46 (1982) no. 4, pp. 853-861 | DOI

[4] Augusto, L. Comparative responses of legume vs. non-legume tropical trees to biochar additions, Peer Community in Forest and Wood Sciences (2025), p. 100186 | DOI

[5] Bahrun, A.; Fahimuddin, M. Y.; Rakian, T. C.; Safuan, L. O.; Kilowasid, L. O. M. H. Cocoa Pod Husk Biochar Reduce Watering Frequency and Increase Cocoa Seedlings Growth, International Journal of Environment, Agriculture and Biotechnology, Volume 3 (2018) no. 5, pp. 1635-1639 | DOI

[6] Bates, D.; Mächler, M.; Bolker, B.; Walker, S. Fitting Linear Mixed-Effects Models Using lme4, Journal of Statistical Software, Volume 67 (2015) no. 1 | DOI

[7] Bieser, J. M.; Thomas, S. C. Biochar and high-carbon wood ash effects on soil and vegetation in a boreal clearcut, Canadian Journal of Forest Research, Volume 49 (2019) no. 9, pp. 1124-1134 | DOI

[8] Boland, D.; Pinyopusarerk, K.; McDonald, M.; Jovanovic, T.; Booth, T. The Habitat of Acacia Auriculiformis and Probable Factors Associated with Its Distribution, Journal of Tropical Forest Science, Volume 3 (1990) no. 2, pp. 159-180

[9] Brondani, G. E.; Silva, A. J. C.; Araujo, M. A. D.; Grossi, F.; Wendling, I.; Carpanezzi, A. A. Phosphorus nutrition in the growth of Bauhinia forficata L. seedlings, Acta Scientiarum. Agronomy, Volume 30 (2008) no. 5, pp. 665-671 | DOI

[10] Bu, X.; Xue, J.; Wu, Y.; Ma, W. Effect of Biochar on Seed Germination and Seedling Growth of Robinia pseudoacacia L . In Karst Calcareous Soils, Communications in Soil Science and Plant Analysis, Volume 51 (2020) no. 3, pp. 352-363 | DOI

[11] Budi, S.; Setyaningsih, L. Arbuscular Mycorrhizal Fungi and Biochar Improved Early Growth of Neem (Melia azedarach Linn.) Seedling Under Greenhouse Conditions, Journal of Tropical Forest Management, Volume 19 (2013), pp. 103-110

[12] Chen, H.; Chen, C.; Yu, F. Biochar Improves Root Growth of Sapium sebiferum (L.) Roxb. Container Seedlings, Agronomy, Volume 11 (2021) no. 6, p. 1242 | DOI

[13] Chidumayo, E. Effects of wood carbonization on soil and initial development of seedlings in miombo woodland, Zambia, Forest Ecology and Management, Volume 70 (1994) no. 1-3, pp. 353-357 | DOI

[14] Clough, T.; Condron, L.; Kammann, C.; Müller, C. A Review of Biochar and Soil Nitrogen Dynamics, Agronomy, Volume 3 (2013) no. 2, pp. 275-293 | DOI

[15] Cooper, D. L. M.; Lewis, S. L.; Sullivan, M. J. P.; Prado, P. I.; Ter Steege, H.; Barbier, N.; Slik, F.; Sonké, B.; Ewango, C. E. N.; Adu-Bredu, S.; Affum-Baffoe, K.; De Aguiar, D. P. P.; Ahuite Reategui, M. A.; Aiba, S.-I.; Albuquerque, B. W.; De Almeida Matos, F. D.; Alonso, A.; Amani, C. A.; Do Amaral, D. D.; Do Amaral, I. L.; Andrade, A.; De Andrade Miranda, I. P.; Angoboy, I. B.; Araujo-Murakami, A.; Arboleda, N. C.; Arroyo, L.; Ashton, P.; Aymard C, G. A.; Baider, C.; Baker, T. R.; Balinga, M. P. B.; Balslev, H.; Banin, L. F.; Bánki, O. S.; Baraloto, C.; Barbosa, E. M.; Barbosa, F. R.; Barlow, J.; Bastin, J.-F.; Beeckman, H.; Begne, S.; Bengone, N. N.; Berenguer, E.; Berry, N.; Bitariho, R.; Boeckx, P.; Bogaert, J.; Bonyoma, B.; Boundja, P.; Bourland, N.; Boyemba Bosela, F.; Brambach, F.; Brienen, R.; Burslem, D. F. R. P.; Camargo, J. L.; Campelo, W.; Cano, A.; Cárdenas, S.; Cárdenas López, D.; De Sá Carpanedo, R.; Carrero Márquez, Y. A.; Carvalho, F. A.; Casas, L. F.; Castellanos, H.; Castilho, C. V.; Cerón, C.; Chapman, C. A.; Chave, J.; Chhang, P.; Chutipong, W.; Chuyong, G. B.; Cintra, B. B. L.; Clark, C. J.; Coelho De Souza, F.; Comiskey, J. A.; Coomes, D. A.; Cornejo Valverde, F.; Correa, D. F.; Costa, F. R. C.; Costa, J. B. P.; Couteron, P.; Culmsee, H.; Cuni-Sanchez, A.; Dallmeier, F.; Damasco, G.; Dauby, G.; Dávila, N.; Dávila Doza, H. P.; De Alban, J. D. T.; De Assis, R. L.; De Canniere, C.; De Haulleville, T.; De Jesus Veiga Carim, M.; Demarchi, L. O.; Dexter, K. G.; Di Fiore, A.; Din, H. H. M.; Disney, M. I.; Djiofack, B. Y.; Djuikouo, M.-N. K.; Do, T. V.; Doucet, J.-L.; Draper, F. C.; Droissart, V.; Duivenvoorden, J. F.; Engel, J.; Estienne, V.; Farfan-Rios, W.; Fauset, S.; Feeley, K. J.; Feitosa, Y. O.; Feldpausch, T. R.; Ferreira, C.; Ferreira, J.; Ferreira, L. V.; Fletcher, C. D.; Flores, B. M.; Fofanah, A.; Foli, E. G.; Fonty, É.; Fredriksson, G. M.; Fuentes, A.; Galbraith, D.; Gallardo Gonzales, G. P.; Garcia-Cabrera, K.; García-Villacorta, R.; Gomes, V. H. F.; Gómez, R. Z.; Gonzales, T.; Gribel, R.; Guedes, M. C.; Guevara, J. E.; Hakeem, K. R.; Hall, J. S.; Hamer, K. C.; Hamilton, A. C.; Harris, D. J.; Harrison, R. D.; Hart, T. B.; Hector, A.; Henkel, T. W.; Herbohn, J.; Hockemba, M. B. N.; Hoffman, B.; Holmgren, M.; Honorio Coronado, E. N.; Huamantupa-Chuquimaco, I.; Hubau, W.; Imai, N.; Irume, M. V.; Jansen, P. A.; Jeffery, K. J.; Jimenez, E. M.; Jucker, T.; Junqueira, A. B.; Kalamandeen, M.; Kamdem, N. G.; Kartawinata, K.; Kasongo Yakusu, E.; Katembo, J. M.; Kearsley, E.; Kenfack, D.; Kessler, M.; Khaing, T. T.; Killeen, T. J.; Kitayama, K.; Klitgaard, B.; Labrière, N.; Laumonier, Y.; Laurance, S. G. W.; Laurance, W. F.; Laurent, F.; Le, T. C.; Le, T. T.; Leal, M. E.; Leão De Moraes Novo, E. M.; Levesley, A.; Libalah, M. B.; Licona, J. C.; Lima Filho, D. D. A.; Lindsell, J. A.; Lopes, A.; Lopes, M. A.; Lovett, J. C.; Lowe, R.; Lozada, J. R.; Lu, X.; Luambua, N. K.; Luize, B. G.; Maas, P.; Magalhães, J. L. L.; Magnusson, W. E.; Mahayani, N. P. D.; Makana, J.-R.; Malhi, Y.; Maniguaje Rincón, L.; Mansor, A.; Manzatto, A. G.; Marimon, B. S.; Marimon-Junior, B. H.; Marshall, A. R.; Martins, M. P.; Mbayu, F. M.; De Medeiros, M. B.; Mesones, I.; Metali, F.; Mihindou, V.; Millet, J.; Milliken, W.; Mogollón, H. F.; Molino, J.-F.; Mohd. Said, M. N.; Monteagudo Mendoza, A.; Montero, J. C.; Moore, S.; Mostacedo, B.; Mozombite Pinto, L. F.; Mukul, S. A.; Munishi, P. K. T.; Nagamasu, H.; Nascimento, H. E. M.; Nascimento, M. T.; Neill, D.; Nilus, R.; Noronha, J. C.; Nsenga, L.; Núñez Vargas, P.; Ojo, L.; Oliveira, A. A.; De Oliveira, E. A.; Ondo, F. E.; Palacios Cuenca, W.; Pansini, S.; Pansonato, M. P.; Paredes, M. R.; Paudel, E.; Pauletto, D.; Pearson, R. G.; Pena, J. L. M.; Pennington, R. T.; Peres, C. A.; Permana, A.; Petronelli, P.; Peñuela Mora, M. C.; Phillips, J. F.; Phillips, O. L.; Pickavance, G.; Piedade, M. T. F.; Pitman, N. C. A.; Ploton, P.; Popelier, A.; Poulsen, J. R.; Prieto, A.; Primack, R. B.; Priyadi, H.; Qie, L.; Quaresma, A. C.; De Queiroz, H. L.; Ramirez-Angulo, H.; Ramos, J. F.; Reis, N. F. C.; Reitsma, J.; Revilla, J. D. C.; Riutta, T.; Rivas-Torres, G.; Robiansyah, I.; Rocha, M.; Rodrigues, D. D. J.; Rodriguez-Ronderos, M. E.; Rovero, F.; Rozak, A. H.; Rudas, A.; Rutishauser, E.; Sabatier, D.; Sagang, L. B.; Sampaio, A. F.; Samsoedin, I.; Satdichanh, M.; Schietti, J.; Schöngart, J.; Scudeller, V. V.; Seuaturien, N.; Sheil, D.; Sierra, R.; Silman, M. R.; Silva, T. S. F.; Da Silva Guimarães, J. R.; Simo-Droissart, M.; Simon, M. F.; Sist, P.; Sousa, T. R.; De Sousa Farias, E.; De Souza Coelho, L.; Spracklen, D. V.; Stas, S. M.; Steinmetz, R.; Stevenson, P. R.; Stropp, J.; Sukri, R. S.; Sunderland, T. C. H.; Suzuki, E.; Swaine, M. D.; Tang, J.; Taplin, J.; Taylor, D. M.; Tello, J. S.; Terborgh, J.; Texier, N.; Theilade, I.; Thomas, D. W.; Thomas, R.; Thomas, S. C.; Tirado, M.; Toirambe, B.; De Toledo, J. J.; Tomlinson, K. W.; Torres-Lezama, A.; Tran, H. D.; Tshibamba Mukendi, J.; Tumaneng, R. D.; Umaña, M. N.; Umunay, P. M.; Urrego Giraldo, L. E.; Valderrama Sandoval, E. H.; Valenzuela Gamarra, L.; Van Andel, T. R.; Van De Bult, M.; Van De Pol, J.; Van Der Heijden, G.; Vasquez, R.; Vela, C. I. A.; Venticinque, E. M.; Verbeeck, H.; Veridiano, R. K. A.; Vicentini, A.; Vieira, I. C. G.; Vilanova Torre, E.; Villarroel, D.; Villa Zegarra, B. E.; Vleminckx, J.; Von Hildebrand, P.; Vos, V. A.; Vriesendorp, C.; Webb, E. L.; White, L. J. T.; Wich, S.; Wittmann, F.; Zagt, R.; Zang, R.; Zartman, C. E.; Zemagho, L.; Zent, E. L.; Zent, S. Consistent patterns of common species across tropical tree communities, Nature, Volume 625 (2024) no. 7996, pp. 728-734 | DOI

[16] Damaceno, J. B. D.; Lobato, A. C. N.; Gama, R. T. D.; Oliveira, D. M. D.; Falcão, N. P. D. S. Biochar as Phosphorus Conditioner in Substrate for Brazil Nut (Bertholletia excelsa Humb. & Bonpl.) Seedling Production in the Central Amazon, Journal of Agricultural Science, Volume 11 (2019) no. 6, p. 383 | DOI

[17] Deb, J. C.; Halim, M. A.; Ahmed, E. An allometric equation for estimating stem biomass of Acacia auriculiformis in the north-eastern region of Bangladesh, Southern Forests: a Journal of Forest Science, Volume 74 (2012) no. 2, pp. 103-113 | DOI

[18] Desjardins, S. M.; Ter-Mikaelian, M. T.; Chen, J. Cradle-to-gate life cycle analysis of slow pyrolysis biochar from forest harvest residues in Ontario, Canada, Biochar, Volume 6 (2024) no. 1, p. 58 | DOI

[19] E Latawiec, A.; Peake, L.; Baxter, H.; Cornelissen, G.; Grotkiewicz, K.; Hale, S.; B Królczyk, J.; Kubon, M.; Łopatka, A.; Medynska-Juraszek, A.; J Reid, B.; Siebielec, G.; P Sohi, S.; Spiak, Z.; Bn Strassburg, B. A reconnaissance-scale gis-based multicriteria decision analysis to support sustainable biochar use: poland as a case study, Journal of Environmental Engineering and Landscape Management, Volume 25 (2017) no. 2, pp. 208-222 | DOI

[20] Evans, J.; Turnbull, J. W. Plantation Forestry in the Tropics: The Role, Silviculture, and Use of Planted Forests for Industrial, Social, Environmental, and Agroforestry Purposes, Oxford University PressOxford, 2004 | DOI

[21] Fagbenro, J.; Oshunsanya, S.; Onawumi, O. Effect of Saw Dust Biochar and NPK 15:15:15 Inorganic Fertilizer on Moringa oleifera Seedlings Grown in an Oxisol., Agrosearch, Volume 13 (2013) no. 1, p. 57 | DOI

[22] Fagbenro, J. A.; Oshunsanya, S. O.; Oyeleye, B. A. Effects of Gliricidia Biochar and Inorganic Fertilizer on Moringa Plant Grown in an Oxisol, Communications in Soil Science and Plant Analysis, Volume 46 (2015) no. 5, pp. 619-626 | DOI

[23] Farhangi-Abriz, S.; Ghassemi-Golezani, K.; Torabian, S.; Qin, R. A meta-analysis to estimate the potential of biochar in improving nitrogen fixation and plant biomass of legumes, Biomass Conversion and Biorefinery, Volume 14 (2022) no. 3, pp. 3293-3303 | DOI

[24] Farhangi-Abriz, S.; Torabian, S.; Qin, R.; Noulas, C.; Lu, Y.; Gao, S. Biochar effects on yield of cereal and legume crops using meta-analysis, Science of The Total Environment, Volume 775 (2021), p. 145869 | DOI

[25] De Farias, J.; Marimon, B. S.; De Carvalho Ramos Silva, L.; Petter, F. A.; Andrade, F. R.; Morandi, P. S.; Marimon-Junior, B. H. Survival and growth of native Tachigali vulgaris and exotic Eucalyptus urophylla×Eucalyptus grandis trees in degraded soils with biochar amendment in southern Amazonia, Forest Ecology and Management, Volume 368 (2016), pp. 173-182 | DOI

[26] Finzi, A. C.; Canham, C. D.; Van Breemen, N. Canopy tree–soil interactions within temperate forests: species effects on pH and cations, Ecological Applications, Volume 8 (1998) no. 2, pp. 447-454 | DOI

[27] Gale, N. V.; Halim, M. A.; Horsburgh, M.; Thomas, S. C. Comparative responses of early‐successional plants to charcoal soil amendments, Ecosphere, Volume 8 (2017) no. 10, p. e01933 | DOI

[28] Gale, N. V.; Thomas, S. C. Dose-dependence of growth and ecophysiological responses of plants to biochar, Science of The Total Environment, Volume 658 (2019), pp. 1344-1354 | DOI

[29] Ge, X.; Yang, Z.; Zhou, B.; Cao, Y.; Xiao, W.; Wang, X.; Li, M.-H. Biochar Fertilization Significantly Increases Nutrient Levels in Plants and Soil but Has No Effect on Biomass of Pinus massoniana (Lamb.) and Cunninghamia lanceolata (Lamb.) Hook Saplings During the First Growing Season, Forests, Volume 10 (2019) no. 8, p. 612 | DOI

[30] Gei, M.; Rozendaal, D. M. A.; Poorter, L.; Bongers, F.; Sprent, J. I.; Garner, M. D.; Aide, T. M.; Andrade, J. L.; Balvanera, P.; Becknell, J. M.; Brancalion, P. H. S.; Cabral, G. A. L.; César, R. G.; Chazdon, R. L.; Cole, R. J.; Colletta, G. D.; De Jong, B.; Denslow, J. S.; Dent, D. H.; DeWalt, S. J.; Dupuy, J. M.; Durán, S. M.; Do Espírito Santo, M. M.; Fernandes, G. W.; Nunes, Y. R. F.; Finegan, B.; Moser, V. G.; Hall, J. S.; Hernández-Stefanoni, J. L.; Junqueira, A. B.; Kennard, D.; Lebrija-Trejos, E.; Letcher, S. G.; Lohbeck, M.; Marín-Spiotta, E.; Martínez-Ramos, M.; Meave, J. A.; Menge, D. N. L.; Mora, F.; Muñoz, R.; Muscarella, R.; Ochoa-Gaona, S.; Orihuela-Belmonte, E.; Ostertag, R.; Peña-Claros, M.; Pérez-García, E. A.; Piotto, D.; Reich, P. B.; Reyes-García, C.; Rodríguez-Velázquez, J.; Romero-Pérez, I. E.; Sanaphre-Villanueva, L.; Sanchez-Azofeifa, A.; Schwartz, N. B.; De Almeida, A. S.; Almeida-Cortez, J. S.; Silver, W.; De Souza Moreno, V.; Sullivan, B. W.; Swenson, N. G.; Uriarte, M.; Van Breugel, M.; Van Der Wal, H.; Veloso, M. D. D. M.; Vester, H. F. M.; Vieira, I. C. G.; Zimmerman, J. K.; Powers, J. S. Legume abundance along successional and rainfall gradients in Neotropical forests, Nature Ecology & Evolution, Volume 2 (2018) no. 7, pp. 1104-1111 | DOI

[31] Gezahegn, S.; Sain, M.; Thomas, S. C. Variation in Feedstock Wood Chemistry Strongly Influences Biochar Liming Potential, Soil Systems, Volume 3 (2019) no. 2, p. 26 | DOI

[32] Ghosh, S.; Ow, L. F.; Wilson, B. Influence of biochar and compost on soil properties and tree growth in a tropical urban environment, International Journal of Environmental Science and Technology, Volume 12 (2015) no. 4, pp. 1303-1310 | DOI

[33] Gogoi, L.; Gogoi, N.; Borkotoki, B.; Kataki, R. Efficacy of biochar application on seed germination and early growth of forest tree species in semi-evergreen, moist deciduous forest, Forests, Trees and Livelihoods, Volume 29 (2020) no. 3, pp. 158-175 | DOI

[34] Gondim, R.; Maia, A.; Taniguchi, C.; Muniz, C.; Araújo, T. A.; De Melo, A. T.; Da Silva, J. Beneficial Effect of Biochar on Irrigated Dwarf-Green Coconut Tree, Atmosphere, Volume 13 (2021) no. 1, p. 51 | DOI

[35] Gonzalez Sarango, E. M.; Valarezo Manosalvas, C.; Mora, M.; Villamagua, M. Á.; Wilcke, W. Biochar amendment did not influence the growth of two tree plantations on nutrient‐depleted Ultisols in the south Ecuadorian Amazon region, Soil Science Society of America Journal, Volume 85 (2021) no. 3, pp. 862-878 | DOI

[36] Graduate School of Bogor Agricultural University, C. I. D.; Adalina, Y.; Nurrochmat, D. R.; Darusman, D.; Sundawati, L. Harvesting of Non-timber Forest Products by the Local Communities in Mount Halimun-Salak National Park, West Java, Indonesia, Jurnal Manajemen Hutan Tropika (Journal of Tropical Forest Management), Volume 20 (2014) no. 2, pp. 103-111 | DOI

[37] Hale, S. E.; Nurida, N. L.; Jubaedah; Mulder, J.; Sørmo, E.; Silvani, L.; Abiven, S.; Joseph, S.; Taherymoosavi, S.; Cornelissen, G. The effect of biochar, lime and ash on maize yield in a long-term field trial in a Ultisol in the humid tropics, Science of The Total Environment, Volume 719 (2020), p. 137455 | DOI

[38] Hegde, M.; Palanisamy, K.; Yi, J. S. Acacia mangium Willd. - A Fast Growing Tree for Tropical Plantation, Journal of Forest and Environmental Science, Volume 29 (2013) no. 1, pp. 1-14 | DOI

[39] Heinrich, V. H. A.; Vancutsem, C.; Dalagnol, R.; Rosan, T. M.; Fawcett, D.; Silva-Junior, C. H. L.; Cassol, H. L. G.; Achard, F.; Jucker, T.; Silva, C. A.; House, J.; Sitch, S.; Hales, T. C.; Aragão, L. E. O. C. The carbon sink of secondary and degraded humid tropical forests, Nature, Volume 615 (2023) no. 7952, pp. 436-442 | DOI

[40] Hwong, C. N.; Sim, S. F.; Kho, L. K.; Teh, Y. A.; Harrold, L. D.; Chua, K. H.; Zainal, N. H. Effects of biochar from oil palm biomass on soil properties and growth performance of oil palm seedlings, Journal of Sustainability Science and Management, Volume 17 (2022) no. 4, pp. 183-200 | DOI

[41] Jeffery, S.; Verheijen, F.; Van Der Velde, M.; Bastos, A. A quantitative review of the effects of biochar application to soils on crop productivity using meta-analysis, Agriculture, Ecosystems & Environment, Volume 144 (2011) no. 1, pp. 175-187 | DOI

[42] Jeffery, S.; Abalos, D.; Prodana, M.; Bastos, A. C.; Van Groenigen, J. W.; Hungate, B. A.; Verheijen, F. Biochar boosts tropical but not temperate crop yields, Environmental Research Letters, Volume 12 (2017) no. 5, p. 053001 | DOI

[43] Jin, X.; Liu, K.; Zhang, N.; Wu, A.; Dong, L.; Wu, Q.; Zhao, M.; Li, Y.; Wang, Y. The combined application of arbuscular mycorrhizal fungi and biochar improves the Cd tolerance of Cinnamomum camphora seedlings, Rhizosphere, Volume 31 (2024), p. 100939 | DOI

[44] Joseph, S.; Cowie, A. L.; Van Zwieten, L.; Bolan, N.; Budai, A.; Buss, W.; Cayuela, M. L.; Graber, E. R.; Ippolito, J. A.; Kuzyakov, Y.; Luo, Y.; Ok, Y. S.; Palansooriya, K. N.; Shepherd, J.; Stephens, S.; Weng, Z. (.; Lehmann, J. How biochar works, and when it doesn't: A review of mechanisms controlling soil and plant responses to biochar, GCB Bioenergy, Volume 13 (2021) no. 11, pp. 1731-1764 | DOI

[45] Juno, E.; Ibáñez, I. Biochar Application and Soil Transfer in Tree Restoration: A Meta-Analysis and Field Experiment, Ecological Restoration, Volume 39 (2021) no. 3, pp. 158-167 | DOI

[46] Karim, M. R.; Halim, M. A.; Gale, N. V.; Thomas, S. C. Biochar Effects on Soil Physiochemical Properties in Degraded Managed Ecosystems in Northeastern Bangladesh, Soil Systems, Volume 4 (2020) no. 4, p. 69 | DOI

[47] Kayama, M.; Nimpila, S.; Hongthong, S.; Yoenda, R.; Himmapan, W.; Noda, I. Effects of biochar on the early growth characteristics of teak seedlings planted in sandy soil in northeast Thailand, Bulletin of the Forestry and Forest Products Research Institute, Volume 21 (2022), pp. 73-81 | DOI

[48] Kayama, M.; Abebe, B.; Birhane, E. Effects of Biochar on the Growth of Vachellia etbaica and Faidherbia albida Planted in Tigray, Northern Ethiopia, Japan Agricultural Research Quarterly: JARQ, Volume 55 (2021) no. 4, pp. 367-378 | DOI

[49] Kayama, M.; Nimpila, S.; Hongthong, S.; Yoneda, R.; Wichiennopparat, W.; Himmapan, W.; Vacharangkura, T.; Noda, I. Effects of Bentonite, Charcoal and Corncob for Soil Improvement and Growth Characteristics of Teak Seedling Planted on Acrisols in Northeast Thailand, Forests, Volume 7 (2016) no. 2, p. 36 | DOI

[50] Kayama, M.; Takenaka,Koichi; Abebe, B.; Birhane, E. Effects of biochar on the growth of Olea europaea subsp. cuspidata and Dodonaea angustifolia planted in Tigray, northern Ethiopia, Journal of the Japanese Society of Revegetation Technology, Volume 45 (2019) no. 1, pp. 115-120 | DOI

[51] Kohyama, T.; Hotta, M. Significance of Allometry in Tropical Saplings, Functional Ecology, Volume 4 (1990) no. 4, p. 515 | DOI

[52] Lajeunesse, M.; Koricheva, J.; Gurevitch, J. Recovering missing or partial data from studies: a survey of conversions and imputations for meta-analysis, Handbook of Meta-analysis in Ecology and Evolution, Princeton University Press, Princeton, 2013, pp. 195-206

[53] Latawiec, A. E.; Peake, L.; Baxter, H.; Cornelissen, G.; Grotkiewicz, K.; Hale, S.; Królczyk, J. B.; Kubon, M.; Łopatka, A.; Medynska-Juraszek, A.; Reid, B. J.; Siebielec, G.; Sohi, S. P.; Spiak, Z.; Strassburg, B. B. A reconnaissance-scale gis-based multicriteria decision analysis to support sustainable biochar use: poland as a case study, Journal of Environmental Engineering and Landscape Management, Volume 25 (2017) no. 2, pp. 208-222 | DOI

[54] Lefebvre, D.; Román-Dañobeytia, F.; Soete, J.; Cabanillas, F.; Corvera, R.; Ascorra, C.; Fernandez, L. E.; Silman, M. Biochar Effects on Two Tropical Tree Species and Its Potential as a Tool for Reforestation, Forests, Volume 10 (2019) no. 8, p. 678 | DOI

[55] Lehmann, J.; Joseph, S. Biochar for Environmental Management: Science, Technology and Implementation, Routledge, 2015 | DOI

[56] Lehmann, J.; Cowie, A.; Masiello, C. A.; Kammann, C.; Woolf, D.; Amonette, J. E.; Cayuela, M. L.; Camps-Arbestain, M.; Whitman, T. Biochar in climate change mitigation, Nature Geoscience, Volume 14 (2021) no. 12, pp. 883-892 | DOI

[57] Lenth, R.; Singmann, H.; Love, J.; Buerkner, P.; Herve, M. Emmeans: estimated marginal means, aka least-squares means (R package version 1.5.1), The Comprehensive R Archive Network, 2021 (https://cran.r-project.org/package=emmeans)

[58] Liao, W.; Halim, M. A.; Kayes, I.; Drake, J. A. P.; Thomas, S. C. Biochar Benefits Green Infrastructure: Global Meta-Analysis and Synthesis, Environmental Science & Technology, Volume 57 (2023) no. 41, pp. 15475-15486 | DOI

[59] Lima, S. L.; Tamiozzo, S.; Palomino, E. C.; Petter, F. A.; Marimon-Junior, B. H. Interactions of biochar and organic compound for seedlings production of Magonia pubescens A. St.-Hil, Revista Árvore, Volume 39 (2015) no. 4, pp. 655-661 | DOI

[60] Lin, Z.; Liu, Q.; Liu, G.; Cowie, A. L.; Bei, Q.; Liu, B.; Wang, X.; Ma, J.; Zhu, J.; Xie, Z. Effects of Different Biochars on Pinus elliottii Growth, N Use Efficiency, Soil N 2 O and CH 4 Emissions and C Storage in a Subtropical Area of China, Pedosphere, Volume 27 (2017) no. 2, pp. 248-261 | DOI

[61] Liu, L.; Wang, Y.; Yan, X.; Li, J.; Jiao, N.; Hu, S. Biochar amendments increase the yield advantage of legume-based intercropping systems over monoculture, Agriculture, Ecosystems & Environment, Volume 237 (2017), pp. 16-23 | DOI

[62] Liu, X.; Zhang, A.; Ji, C.; Joseph, S.; Bian, R.; Li, L.; Pan, G.; Paz-Ferreiro, J. Biochar’s effect on crop productivity and the dependence on experimental conditions—a meta-analysis of literature data, Plant and Soil, Volume 373 (2013) no. 1-2, pp. 583-594 | DOI

[63] Marjenah, M.; Kiswanto, K.; Purwanti, S.; Sofyan, F. P. M. The effect of biochar, cocopeat and sawdust compost on the growth of two dipterocarps seedlings, Nusantara Bioscience, Volume 8 (2016) no. 1 | DOI

[64] Mia, S.; Uddin, N.; Mamun Hossain, S. A. A.; Amin, R.; Mete, F. Z.; Hiemstra, T. Production of Biochar for Soil Application: A Comparative Study of Three Kiln Models, Pedosphere, Volume 25 (2015) no. 5, pp. 696-702 | DOI

[65] Mitchard, E. T. A. The tropical forest carbon cycle and climate change, Nature, Volume 559 (2018) no. 7715, pp. 527-534 | DOI

[66] Mwadalu, R.; Mochoge, B.; Danga, B. Effects of biochar and manure on soil properties and growth of Casuarina equisetifolia seedlings at the coastal region of Kenya, Scientific Research and Essays, Volume 15 (2020) no. 3, pp. 52-63 | DOI

[67] Mwadalu, R.; Mochoge, B.; Danga, B. Assessing the Potential of Biochar for Improving Soil Physical Properties and Tree Growth, International Journal of Agronomy, Volume 2021 (2021), pp. 1-12 | DOI

[68] Nakagawa, S.; Yang, Y.; Macartney, E. L.; Spake, R.; Lagisz, M. Quantitative evidence synthesis: a practical guide on meta-analysis, meta-regression, and publication bias tests for environmental sciences, Environmental Evidence, Volume 12 (2023) no. 1, p. 8 | DOI

[69] Nguyen, T. T. N.; Xu, C.-Y.; Tahmasbian, I.; Che, R.; Xu, Z.; Zhou, X.; Wallace, H. M.; Bai, S. H. Effects of biochar on soil available inorganic nitrogen: A review and meta-analysis, Geoderma, Volume 288 (2017), pp. 79-96 | DOI

[70] Ni, N.; Kong, D.; Wu, W.; He, J.; Shan, Z.; Li, J.; Dou, Y.; Zhang, Y.; Song, Y.; Jiang, X. The Role of Biochar in Reducing the Bioavailability and Migration of Persistent Organic Pollutants in Soil–Plant Systems: A Review, Bulletin of Environmental Contamination and Toxicology, Volume 104 (2020) no. 2, pp. 157-165 | DOI

[71] Pan, L.; Xu, F.; Mo, H.; Corlett, R. T.; Sha, L. The potential for biochar application in rubber plantations in Xishuangbanna, Southwest China: a pot trial, Biochar, Volume 3 (2021) no. 1, pp. 65-76 | DOI

[72] Pan, Y.; Birdsey, R. A.; Fang, J.; Houghton, R.; Kauppi, P. E.; Kurz, W. A.; Phillips, O. L.; Shvidenko, A.; Lewis, S. L.; Canadell, J. G.; Ciais, P.; Jackson, R. B.; Pacala, S. W.; McGuire, A. D.; Piao, S.; Rautiainen, A.; Sitch, S.; Hayes, D. A Large and Persistent Carbon Sink in the World’s Forests, Science, Volume 333 (2011) no. 6045, pp. 988-993 | DOI

[73] Phillips, C. L.; Light, S. E.; Lindsley, A.; Wanzek, T. A.; Meyer, K. M.; Trippe, K. M. Preliminary evaluation of a decision support tool for biochar amendment, Biochar, Volume 2 (2020) no. 1, pp. 93-105 | DOI

[74] Pluchon, N.; Gundale, M. J.; Nilsson, M.; Kardol, P.; Wardle, D. A. Stimulation of boreal tree seedling growth by wood‐derived charcoal: effects of charcoal properties, seedling species and soil fertility, Functional Ecology, Volume 28 (2014) no. 3, pp. 766-775 | DOI

[75] Powers, J. S.; Marín-Spiotta, E. Ecosystem Processes and Biogeochemical Cycles in Secondary Tropical Forest Succession, Annual Review of Ecology, Evolution, and Systematics, Volume 48 (2017) no. 1, pp. 497-519 | DOI

[76] Quilliam, R. S.; DeLuca, T. H.; Jones, D. L. Biochar application reduces nodulation but increases nitrogenase activity in clover, Plant and Soil, Volume 366 (2013) no. 1-2, pp. 83-92 | DOI

[77] R Core Team R: A Language and Environment for Statistical Computing, http://www.R-project.org/, 2024

[78] Radin, R.; Abu Bakar, R.; Ishak, C. F.; Ahmad, S. H.; Tsong, L. C. Biochar-compost mixture as amendment for improvement of polybag-growing media and oil palm seedlings at main nursery stage, International Journal of Recycling of Organic Waste in Agriculture, Volume 7 (2018) no. 1, pp. 11-23 | DOI

[79] Rafly, N.; Riniarti, M.; Hidayat, W.; Prasetia, H.; Wijaya, B.; Niswati, A.; Hasanudin, U.; Banuwa, I. The Effect of the Application of Biochar from Oil Palm Empty Bunches on the Growth of Falcataria moluccana, Journal of Tropical Upland Resources, Volume 4 (2022), pp. 1-10

[80] Reverchon, F.; Yang, H.; Ho, T. Y.; Yan, G.; Wang, J.; Xu, Z.; Chen, C.; Zhang, D. A preliminary assessment of the potential of using an acacia—biochar system for spent mine site rehabilitation, Environmental Science and Pollution Research, Volume 22 (2015) no. 3, pp. 2138-2144 | DOI

[81] Rezende, F. A.; Santos, V. A. H. F. D.; Maia, C. M. B. D. F.; Morales, M. M. Biochar in substrate composition for production of teak seedlings, Pesquisa Agropecuária Brasileira, Volume 51 (2016) no. 9, pp. 1449-1456 | DOI

[82] Riziki, U. M.; Benson, M.; Benjamin, D. Effects of biochar and manure on soil properties and growth of Casuarina equisetifolia seedlings at the coastal region of Kenya, Scientific Research and Essays, Volume 15 (2020) no. 3, pp. 52-63 | DOI

[83] Riziki, U. M.; Benson, M.; Benjamin, D. Effects of biochar and manure on soil properties and growth of Casuarina equisetifolia seedlings at the coastal region of Kenya, Scientific Research and Essays, Volume 15 (2020) no. 3, pp. 52-63 | DOI

[84] Rizwan, M.; Ali, S.; Qayyum, M. F.; Ibrahim, M.; Zia-ur-Rehman, M.; Abbas, T.; Ok, Y. S. Mechanisms of biochar-mediated alleviation of toxicity of trace elements in plants: a critical review, Environmental Science and Pollution Research, Volume 23 (2016) no. 3, pp. 2230-2248 | DOI

[85] Rohatgi, A. WebPlotDigitizer (Version 3), 2019 (https://apps.automeris.io/wpd4/)

[86] Rusli, L.; Osman, N.; Abdullah, R.; Yaacob, J.; Seow, A. Effects of palm kernel biochar on the physiological responses and root profiles of sendudok (Melastoma malabathricum L.) grown on acidic soil, Applied Ecology and Environmental Research, Volume 19 (2021) no. 4, pp. 2887-2903 | DOI

[87] Ríos Guayasamín, P. D.; Smith, S. M.; Thomas, S. C. Biochar effects on NTFP-enriched secondary forest growth and soil properties in Amazonian Ecuador, Journal of Environmental Management, Volume 350 (2024), p. 119068 | DOI

[88] Schmidt, H.; Kammann, C.; Hagemann, N.; Leifeld, J.; Bucheli, T. D.; Sánchez Monedero, M. A.; Cayuela, M. L. Biochar in agriculture – A systematic review of 26 global meta‐analyses, GCB Bioenergy, Volume 13 (2021) no. 11, pp. 1708-1730 | DOI

[89] Sifton, M. A.; Lim, P.; Smith, S. M.; Thomas, S. C. Interactive effects of biochar and N-fixing companion plants on growth and physiology of Acer saccharinum, Urban Forestry & Urban Greening, Volume 74 (2022), p. 127652 | DOI

[90] Sifton, M. A.; Smith, S. M.; Thomas, S. C. Biochar-biofertilizer combinations enhance growth and nutrient uptake in silver maple grown in an urban soil, PLOS ONE, Volume 18 (2023) no. 7, p. e0288291 | DOI

[91] Siregar, C. Effect of charcoal application on the early growth stage of Acacia mangium and Michelia montana, Indonesian Journal of Forestry Research, 4, 19–30., Volume 4 (2007), pp. 19-30

[92] Sovu; Tigabu, M.; Savadogo, P.; Odén, P. Facilitation of forest landscape restoration on abandoned swidden fallows in Laos using mixed-species planting and biochar application, Silva Fennica, Volume 46 (2012) no. 1 | DOI

[93] Spokas, K. A.; Baker, J. M.; Reicosky, D. C. Ethylene: potential key for biochar amendment impacts, Plant and Soil, Volume 333 (2010) no. 1-2, pp. 443-452 | DOI

[94] Sujeeun, L.; Thomas, S. C. Biochar Rescues Native Trees in the Biodiversity Hotspot of Mauritius, Forests, Volume 13 (2022) no. 2, p. 277 | DOI

[95] Sujeeun, L.; Thomas, S. C. Biochar: A Tool for Combatting Both Invasive Species and Climate Change, Plant Invasions and Global Climate Change, Springer Nature Singapore, Singapore, 2023, pp. 367-393 | DOI

[96] Syafiqah Nabilah, S.; Fazwa, F.; Norhayati, S.; Jeyanny, V.; Zaki, M.; Asri, M.; Samsuri, T. Effect of NPK Fertilizer, Biochar and Compost on the Growth of Citrus hystrix, Transactions of the Malaysian Society of Plant Physiology, Volume 26 (2019), pp. 47-52

[97] Tamme, R.; Pärtel, M.; Kõljalg, U.; Laanisto, L.; Liira, J.; Mander, Ü.; Moora, M.; Niinemets, Ü.; Öpik, M.; Ostonen, I.; Tedersoo, L.; Zobel, M. Global macroecology of nitrogen‐fixing plants, Global Ecology and Biogeography, Volume 30 (2021) no. 2, pp. 514-526 | DOI

[98] Tarin, M. W. K.; Fan, L.; Tayyab, M.; Sarfraz, R.; Chen, L.; He, T.; Rong, J.; Chen, L.; Zheng, Y. Effects of bamboo biochar amendment on the growth and physiological characteristics of Fokienia hodginsii, Applied Ecology and Environmental Research, Volume 16 (2018) no. 6, pp. 8055-8074 | DOI

[99] Tarin, M. W. K.; Lili, F.; Lu, S.; Jinli, L.; Jingwen, L.; Zhiwen, D.; Lingyan, C.; Tianyou, H.; Rong, J.; Zheng, Y. Rice straw biochar impact on physiological and biochemical attributes of Fokienia hodginsii in acidic soil, Scandinavian Journal of Forest Research, Volume 35 (2020) no. 1-2, pp. 59-68 | DOI

[100] Tedersoo, L.; Laanisto, L.; Rahimlou, S.; Toussaint, A.; Hallikma, T.; Pärtel, M. Global database of plants with root‐symbiotic nitrogen fixation: Nod span style="font-variant:small-caps;"DB/span, Journal of Vegetation Science, Volume 29 (2018) no. 3, pp. 560-568 | DOI

[101] Thomas, S. C.; Halim, M. A.; Gale, N. V.; Sujeeun, L. Biochar enhancement of facilitation effects in agroforestry: early growth and physiological responses in a maize-leucaena model system, Agroforestry Systems, Volume 93 (2019) no. 6, pp. 2213-2225 | DOI

[102] Thomas, S. Data from Thomas et al. Comparative responses of legume vs. non-legume tropical trees to biochar additions, Borealis, 2025 | DOI

[103] Thomas, S. C. Asymptotic height as a predictor of growth and allometric characteristics in malaysian rain forest trees, American Journal of Botany, Volume 83 (1996) no. 5, pp. 556-566 | DOI

[104] Thomas, S. C.; Frye, S.; Gale, N.; Garmon, M.; Launchbury, R.; Machado, N.; Melamed, S.; Murray, J.; Petroff, A.; Winsborough, C. Biochar mitigates negative effects of salt additions on two herbaceous plant species, Journal of Environmental Management, Volume 129 (2013), pp. 62-68 | DOI

[105] Thomas, S. C.; Gale, N. Biochar and forest restoration: a review and meta-analysis of tree growth responses, New Forests, Volume 46 (2015) no. 5-6, pp. 931-946 | DOI

[106] Thornley, J. Modelling Stem Height and Diameter Growth in Plants, Annals of Botany, Volume 84 (1999) no. 2, pp. 195-205 | DOI

[107] Tugiman, E. S.; Mohd Yusoff, M. Z.; Hassan, M. A.; Abd Samad, M. Y.; Ahmad Farid, M. A.; Shirai, Y. Assessing the efficacy of utilizing biochar derived from oil palm biomass as a planting medium for promoting the growth and development of oil palm seedlings, Biocatalysis and Agricultural Biotechnology, Volume 58 (2024), p. 103203 | DOI

[108] Uselman, S. M.; Qualls, R. G.; Thomas, R. B. Effects of increased atmospheric CO2, temperature, and soil N availability on root exudation of dissolved organic carbon by a N-fixing tree (Robinia pseudoacacia L.), Plant and Soil, Volume 222 (2000) no. 1-2, pp. 191-202 | DOI

[109] Viechtbauer, W. Conducting Meta-Analyses in R with the metafor Package, Journal of Statistical Software, Volume 36 (2010) no. 3 | DOI

[110] Van De Voorde, T. F. J.; Bezemer, T. M.; Van Groenigen, J. W.; Jeffery, S.; Mommer, L. Soil biochar amendment in a nature restoration area: effects on plant productivity and community composition, Ecological Applications, Volume 24 (2014) no. 5, pp. 1167-1177 | DOI

[111] Wan Mohamed, W.; Liu, C.; Abdullah, R.; Osman, N. Influence of organic amendments on the growth and physiology of Melastoma malabathricum, Transactions of the Malaysian Society of Plant Physiology, Volume 28 (2021), pp. 79-85

[112] Wang, B.; Lehmann, J.; Hanley, K.; Hestrin, R.; Enders, A. Adsorption and desorption of ammonium by maple wood biochar as a function of oxidation and pH, Chemosphere, Volume 138 (2015), pp. 120-126 | DOI

[113] Wang, X.; Zheng, W.-L.; Ma, X.; Yu, F.-H.; Li, M.-H. Biochar aggravates the negative effect of drought duration on the growth and physiological dynamics of Pinus massoniana, Frontiers in Ecology and Evolution, Volume 11 (2023), p. 1166538 | DOI

[114] Wijaya, B.; Hidayat, W.; Riniarti, M.; Prasetia, H.; Niswati, A.; Hasanudin, U.; Banuwa, I.; Kim, S.; Lee, S.; Yoo, J. Meranti (Shorea sp.) Biochar Application Method on the Growth of Sengon (Falcataria moluccana) as a Solution of Phosphorus Crisis, Energies, Volume 15 (2022) no. 6, p. 2110 | DOI

[115] Wijaya, B. A.; Riniarti, M.; Prasetia, H.; Hidayat, W.; Niswati, A.; Hasanudin, U.; Banuwa, I. S. Interaksi Perlakuan Dosis Dan Suhu Pirolisis Pembuatan Biochar Kayu Meranti (Shorea spp.) Mempengaruhi Kecepatan Tumbuh Sengon (Paraserianthes moluccana), ULIN: Jurnal Hutan Tropis, Volume 5 (2021) no. 2, p. 78 | DOI

[116] Williams, J. M.; Thomas, S. C. Effects of high‐carbon wood ash biochar on volunteer vegetation establishment and community composition on metal mine tailings, Restoration Ecology, Volume 31 (2023) no. 5, p. e13861 | DOI

[117] Xiao, Y.; Wang, L.; Zhao, Z.; Che, Y. Biochar shifts biomass and element allocation of legume-grass mixtures in Cd-contaminated soils, Environmental Science and Pollution Research, Volume 27 (2020) no. 10, pp. 10835-10845 | DOI

[118] Yaebiyo, G.; Birhane, E.; Tadesse, T.; Kiros, S.; Hadgu, K. M.; G.Egziabher, Y.; Habtu, S. Using biochar and deficit irrigation enhanced the growth of commercial agroforestry woody species seedlings in drylands (a case study in Saz, northern Ethiopia), Agroforestry Systems, Volume 98 (2023) no. 1, pp. 61-79 | DOI

[119] Ye, L.; Camps‐Arbestain, M.; Shen, Q.; Lehmann, J.; Singh, B.; Sabir, M. Biochar effects on crop yields with and without fertilizer: A meta‐analysis of field studies using separate controls, Soil Use and Management, Volume 36 (2020) no. 1, pp. 2-18 | DOI

[120] Yousaf, M.; Nawaz, M.; Zia, M.; Rasul, F.; Tanvir, M. Ecophysiological response of early stage Eucalyptus camaldulensis to biochar and other organic amendments under salt stress, Pakistan Journal of Agricultural Science, Volume 58 (2021), pp. 999-1006

[121] Yousaf, M. T. B.; Nawaz, M. F.; Yasin, G.; Cheng, H.; Ahmed, I.; Gul, S.; Rizwan, M.; Rehim, A.; Xuebin, Q.; Ur Rahman, S. Determining the appropriate level of farmyard manure biochar application in saline soils for three selected farm tree species, PLOS ONE, Volume 17 (2022) no. 4, p. e0265005 | DOI

[122] Yousaf, M. T. B.; Nawaz, M. F.; Zia Ur Rehman, M.; Gul, S.; Yasin, G.; Rizwan, M.; Ali, S. Effect of three different types of biochars on eco-physiological response of important agroforestry tree species under salt stress, International Journal of Phytoremediation, Volume 23 (2021) no. 13, pp. 1412-1422 | DOI

[123] Zou, Z.; Mi, W.; Li, X.; Hu, Q.; Zhang, L.; Zhang, L.; Fu, J.; Li, Z.; Han, W.; Yan, P. Biochar application method influences root growth of tea (Camellia sinensis L.) by altering soil biochemical properties, Scientia Horticulturae, Volume 315 (2023), p. 111960 | DOI